點到直線的距離公式 點到直線距離公式數學
施工測量是工程中必不可少的一塊,同樣是工程測量中非常重要的一個部分,在施工單位中,很多剛到工地的施工人員并不是很熟悉測量工作的相應內容以及相關的計算,很多人只是盲目的跟著師傅拿著桿在工地上到處跑,下面就一起看看什么才是正確的在干測量的“姿勢”!
一、水準測量
一、水準測量原理
A、B兩點間的高差為 hAB = a-b
若水準測量前進方向是由A點測到B點,規定:
A點為后視點,A點尺上的讀數a 為后視讀數
B點為前視點,B點尺上的讀數b 為前視讀數
高差 =后視讀數-前視讀數
當a 大于b 時,hAB 值為正,B點高于A點;
當a 小于b 時,hAB 值為負,B點低于A點。
hAB表示由A點至B點的高差;
hBA表示由B點至A點的高差,
hAB = - hBA
直接利用高差hAB計算B點高程的方法稱為高差法。
若已知A 點的高程HA,求未知點B 的高程HB
HB=HA+hAB
利用儀器視線高程Hi 計算B點高程的方法稱為視線高法。
Hi = HA+a
HB=HA+(a-b)=Hi-b
若A、B兩點之間相距較遠或高差較大時
連續設站水準測量
轉點 起傳遞高程的作用
二、DS3微傾式水準儀
一)水準儀的分類
1.按精度劃分
分為DS05、DS1、DS3、DS10等四個等級,
“D”和“S”分別為“大地測量”和“水準儀”的漢語拼音第一個字母,
下標05、1、3、10表示儀器的精度等級,即“每千米往返測高差中數的中誤差(單位:mm)。”
DS05、DS1稱為精密水準儀,DS3、DS10稱為普通水準儀。
2.按結構劃分
光學水準儀;微傾式水準儀;自動安平水準儀;電子水準儀
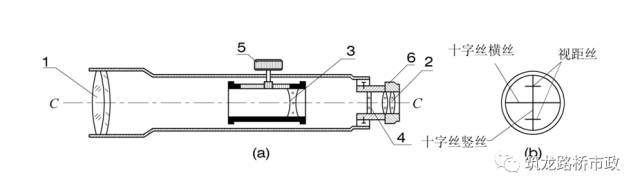
望遠鏡、水準器和基座
主要由物鏡、目鏡、十字絲分劃板、調焦透鏡、調焦螺旋和鏡筒組成。
十字絲中心交點與物鏡光心的連線稱為望遠鏡的視準軸。
2.水準器
(1)圓水準器
球面中心刻有一個小圓圈,小圓圈的中心稱為圓水準器的零點。
通過零點的球面法線,稱為圓水準器軸。
當圓水準氣泡中心與零點重合時,即氣泡居中,說明圓水準器軸處于鉛垂位置。
圓水準器分劃值是指氣泡由零點向任意方向移動2 mm 時所對應的圓心角值。
DS3水準儀圓水準器分劃值一般為8′/2 mm 。
(2)管水準器
又稱水準管,縱向圓孤的中心O為管水準器的零點,
過O點的切線 LL 稱為水準管軸。
當水準管氣泡中心位于零點時,稱為氣泡居中,此時水準管軸處于水平位置。
水準管圓弧2 mm 所對的圓心角τ,稱為水準管分劃值。
DS3水準儀的水準管分劃值一般為20″/2mm。
△管水準器與符合棱鏡
管水準器的靈敏度比圓水準器高得多,因此,管水準器用于水準儀的精確整平,而圓水準器只能用于粗略整平。
3. 基座
基座的作用 支承儀器的上部并與三腳架相接。
基座的構成 主要由軸座、腳螺旋、底板和三角壓板。
通過調節三個腳螺旋可使圓水準器氣泡居中,供粗略整平用
4. 腳架
腳架是用于支撐和安置水準儀的。
水準儀通過中心連接螺旋與腳架相連,并可根據需要調節腳架的高度。
三)水準尺和尺墊
1.水準尺
區格式木質雙面水準尺多用于三、四等水準測量,其長度為3m。
黑面尺底為零,稱為基本分劃(或主尺);
紅面尺底不為零,其中一根為4687mm,另一根為4787mm,稱為輔助分劃(或輔尺),
兩根尺構成一對。
2.尺墊
尺墊用在轉點處。
四)DS3水準儀的使用
水準儀的基本操作包括以下步驟:
1、安置儀器
2、粗平:
3.瞄準水淮尺
使水準尺影像位于十字絲豎絲附近
注意消除視差
4.精平
5.讀數
三、水準測量的外業施測
一)水準點
為了統一全國的高程系統和滿足各種測量的需要,測繪部門在各地埋設且用水準測量方法測定的高程控制點,稱為水準點,記為BM(Bench Mark)。
水準點是水準測量引測高程的依據。
水準點應設在土質堅實,便于保存和使用的地方,
二)水準路線布設
1.單一水準路線
(1)閉合水準路線
如圖(a),從一個已知高程的水準點BMA出發,沿一條環形路線進行水準測量,依次測定若干個待定高程的水準點1、2、3、…,最后又回到水準點BMA,稱為閉合水準路線。
在普通水準測量中,路線長一般不超過8km。
2)附合水準路線
如圖(b),從一個已知高程的水準點BMA出發,沿一條路線進行水準測量,依次測定若干個待定高程的水準點1、2、3、…,最后附合到另一個已知高程的水準點BMB上,稱為附合水準路線。
在普通水準測量中,路線長一般不超過8km。
(3)支水準路線
如圖(c),從一個已知高程的水準點BMA出發,沿一條路線進行水準測量,依次測定若干個待定高程的水準點1、2、…,最后既不回到起始水準點,也不附合到另一個已知高程的水準點上,稱為支水準路線。
由于支水準路線缺乏檢核,故路線一般不超過4km。
通常要進行往返觀測,以加強檢核。
2.水準網
(1)附合水準網 如(a),從多個已知高程的水準點出發,由若干條單一水準路線相互連接而構成的網狀圖形。
(2)獨立水準網 如(b),從一個已知高程的水準點BMA出發,由若干條單一水準路線相互連接而構成的網狀圖形。
在水準網中,至少連接三條水準路線的水準點稱為結點。
三)普通水準測量
普通水準測量常用于一般工程的高程測量和地形圖測繪的圖根控制點高程測量。
1.施測一般要求
普通水準測量采用DS3或DS10級水準儀,測量前應對儀器進行檢驗,采用中絲讀數法單程觀測,施測中各項限差應滿足相應測量規范的各項要求。
2.觀測、記錄和計算
3.普通水準測量的檢核
1)計算檢核
HB-HA=∑h=∑a-∑b
(2)測站檢核
兩次儀器高法
在同一測站上用兩次不同的儀器高度(儀器高度差在10cm以上),測得兩次高差進行比較,若兩次高差之差不超過容許值(普通水準測量容許值為6 mm),則取平均值作為該測站觀測高差,否則,必須重測。
雙面尺法
保持儀器高度不變,用雙面尺的黑、紅面兩次測量高差進行比較,若兩次高差之差不超過容許值,則取平均值作為該測站觀測高差,否則,必須重測。
四、水準路線的計算
一)附合水準路線的計算
1.高差閉合差的計算
在水準測量中,由于測量誤差的影響,使水準路線的實測高差值與應有高差值不相等,其差值稱為高差閉合差,用 fh 表示。
fh=Σh測-Σh理=Σh測-(H終-H始)
一)附合水準路線的計算
2.高差閉合差的調整
當 fh≤fh 容 時,即可進行高差閉合差的調整。
消除閉合差的原則是:將 fh 反號,按與各測段的路線長度或測站數成正比地改正各段觀測高差。
高差改正數的計算檢核:
一)附合水準路線的計算
3.待求點高程的計算
根據各段改正后的高差和起始點的高程,分別求得各待求點的高程。
例2-1 下圖為某附合水準路線,各測段的路線長、實測高差和起點高程如圖所示,該附合水準路線的計算結果列于下表中。
二)閉合水準路線的計算
高差閉合差按下式計算:
fh=Σh測
例2-2 下圖為某閉合水準路線,各測段的路線長、實測高差和起點高程均注于圖中,該閉合水準路線的計算結果列于表中。
三)支水準路線的計算
設A點為已知點,高程為68.200m,
從A點測到B點,高差為+4.385m,
若再從B點測到A點,高差為-4.373m,
此時B點高程的計算方法如下:
高差閉合差:fh=h往+h返=+4.385-4.373=+0.012m
高差閉合差允許值為:
f h< fh 容,說明觀測結果符合精度要求。
則B點的高程為:HB=HA+ hAB =68.200+4.379=72.579 m。
微傾式水準儀的檢驗與校正
1.微傾式水準儀應滿足的幾何條件
主要軸線有:圓水準軸L′L′;管水準軸LL;視準軸CC;縱軸(豎軸)VV
根據水準測量的原理,水準儀應滿足的主要條件是LL∥CC。
兩個次要條件:
①L′L′∥VV;
②十字絲中絲⊥VV。
2.微傾式水準儀的檢驗與校正
(1)圓水準軸平行于儀器豎軸的檢驗與校正
①目的 通過檢校,可使儀器圓水準氣泡居中時,儀器豎軸基本豎直。
②檢校方法
一、微傾式水準儀的檢驗與校正
(2)十字絲中絲垂直于儀器豎軸的檢驗與校正
①目的 通過檢校使十字絲中絲垂直于儀器豎軸,當豎軸豎直時,中橫絲 處于水平位置,即用中橫絲任何位置在水準尺上截得的讀數都是相同的。
②檢校方法
2.微傾式水準儀的檢驗與校正
(3)水準管軸平行于視準軸的檢驗與校正
① 目的
使水準管軸平行于視準軸,當水準管氣泡居中時,視準軸處于水平位置,即獲得一條水平視線。
視準軸和水準管軸在豎直面上投影是否平行的檢驗,稱為i 角檢驗,是水準儀檢校的重點。
在水平面上投影是否平行的檢驗,稱為交叉誤差檢驗。
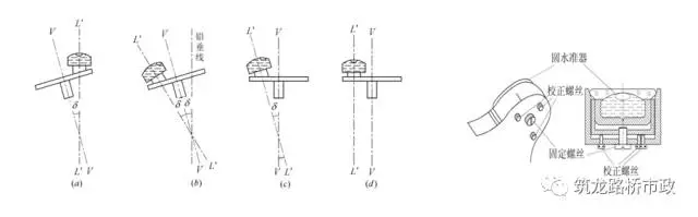
② 檢驗方法
當儀器安置在中點時,
hAB=(a1-x)-(b1-x)=a1-b1
無論儀器是否存在i角,在中點上測得的高差始終是正確的。
將水準儀搬至距B點(或A點)2m~3m處,精平后分別讀取A點和B點上水準尺的讀數a2和b2,則
hAB′=a2-b2
△h=hAB′-hAB
i 角的計算公式為:
對于DS3水準儀,一般要求 i 角不得大于20″。
(3)水準管軸平行于視準軸的檢驗與校正
③ 校正方法
儀器靠近B點處,根據b2和hAB計算出A尺上的正確讀數為:
a2′=b2+hAB
校正時,保持水準儀位置不動,轉動微傾螺旋,使A尺上的讀數對準正確讀數a2′,此時視準軸處于水平位置,水準管軸傾斜。用校正針稍松水準管一端的左、右兩個校正螺絲,再拔動上下兩個校正螺絲,直到水準管氣泡居中。
五、水準測量的誤差分析
一)儀器誤差
1.儀器檢校后的殘余誤差,若保持前后視距相等,i 角對高差的影響可以消除或削弱。
2.水準尺分劃誤差
3.水準尺零點誤差
在觀測過程中,以兩根標尺交替放置,并使每一測段的測站數為偶數,可以消除一對水準尺黑面零點差的影響。
二)觀測誤差
1.水準管氣泡居中誤差
每次讀數前,都應使水準管氣泡嚴格居中。
2.視差
應隨時注意消除視差。
3.讀數誤差
主要是估讀毫米值的誤差。
4.標尺傾斜誤差
若水準尺不豎直,始終使標尺上的實際讀數大于應讀數。讀數時,應將標尺扶直 。
三)外界條件的影響
1.儀器下沉
在一個測站觀測時,采用“后一前一前一后”的觀測順序,可削弱儀器下沉對高差的影響。
2.尺墊下沉
對同一水準路線采用往返測高差取平均的方法,可削弱此項誤差的影響。
3.地球曲率和大氣折光的影響
地球曲率對高差的影響
c=S2/2R
c 為地球曲率差。當儀器距后、前標尺的距離相等時,可消除地球曲率對高差的影響。
3.地球曲率和大氣折光的影響
大氣折光引起的讀數誤差稱為大氣折光差。
消除或減弱大氣折光差影響的措施:
采用前后視距相等的方法,
選擇成像清晰的時間觀測 ,
視線離地面的高度不小于0.3m。
地球曲率c 和大氣折光r 的聯合影響稱為球氣差 f ,
f =c - r
4.溫度風力的影響
在陽光下觀測時應撐傘
應選擇有利的氣侯條件
二、導線測量
一、概 述
導線測量是平面控制測量的一種方法。所謂導線就是由測區內選定的控制點組成的連續折線,見右圖所示。
1、導線的形式
2、導線的等級
導線測量的主要技術要求
注:1. n——測站數 ; 以測角中誤差為單位權中誤差
2.高等級公路適用一級導線,其余公路適用二級導線
二、導線測量的外業工作
1、選 點
實地選點時應注意下列幾點:
(1)導線點應選在地勢較高、視野開闊的地點,便于施測周圍地形;
(2)相鄰兩導線點間要互相通視,便于測量水平角:
(3)導線應沿著平坦、土質堅實的地面設置,以便于丈量距離;
(4)導線邊長要選得大致相等,相鄰邊長不應懸殊過大;
(5)導線點位置須能安置儀器,便于保存。
(6)導線點應盡量靠近路線位置。
導線點之標記圖:
2、測角
導線的水平角即轉折角,是用經緯儀按測回法進行觀測的。在導線點上可以測量導線前進方向的左角或右角。
3、量距
導線采用普通鋼尺丈量導線邊長或用全站儀進行導線邊長測量。請參閱有關知識單元內容。
三、導線測量的內業計算
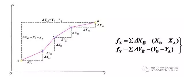
1、坐標計算的基本公式
(1).根據已知點的坐標及已知邊長和坐標方位角計算未知點的坐標,即坐標的正算。
(2).由兩個已知點的坐標反算其坐標方位角和邊長,即坐標的反算。
需要指出的是:按坐標反算公式計算出來的坐標方位角是有正負號的,因此,還應按坐標增量ΔX和ΔY的正負號最后確定AB邊的坐標方位角。
2、坐標方位角的推算
為了計算導線點的坐標,首先應推算出導線各邊的坐標方位角(以下簡稱方位角)。
180°前的正負號取用:是當α后<180°時,用“+”號;當α后>180°時,用“–”號。導線的轉折角是左角(β左)就加上;右角(β右)就減去。
3、閉合導線的坐標計算
(1).角度閉合差的計算與調整
式中:n ——閉合導線的轉折角數;
∑?測——觀測角的總和。
各內角的改正數之和應等于角度閉合差,但符號相反,即∑Vβ= –fβ。改正后的各內角值之和應等于理論值,即∑βi=(n-2)·180°。
(2).坐標方位角推算(如前所述)
(3).坐標增量的計算
(4).坐標增量閉合差的計算
改正后的坐標增量應為:
(5).坐標推算
用改正后的坐標增量,就可以從導線起點的已知坐標依次推算其它導線點的坐標,即:
(6).閉合導線坐標計算示例
4、附合導線的坐標計算
附合導線的坐標計算方法與閉合導線基本上相同,但由于布置形式(見下圖)不同,且附合導線兩端與已知點相連,因而只是角度閉合差與坐標增量閉合差的計算公式有些不同。下面介紹這兩項的計算方法:
(1).角度閉合差的計算
附合導線角度閉合差的一般形式可寫為:
(2).坐標增量閉合差的計算
附合導線坐標增量閉合差的調整方法以及導線精度的衡量均與閉合導線相同。
三、高程放樣
一)要點:根據已知高程點,用水準測量的方法進行。
二)逐樁高程計算:
1.縱斷面設計成果:
變坡點樁號BPD
變坡點設計高程H
豎曲線半徑R
一)要點:根據已知高程點,用水準測量的方法進行。
二)逐樁高程計算:
2、豎曲線要素的計算公式:
變坡角ω= i2- i1
曲線長:L=Rω
切線長:T=L/2= Rω/2
外 距:E=T2/2R
縱 距:y=x2/2R
豎曲線起點樁號: QD=BPD - T
豎曲線終點樁號: ZD=BPD + T
3. 逐樁設計高程計算 :
四、平面放樣
一)根據中線上P點的里程樁號求算坐標
1.P點在直線上
2.P點在圓曲線上
3.P點在緩和曲線上
二)根據求得的P點坐標進行放樣
1.在測站A上架設經緯儀、測距儀,整平對中
2.將導線點坐標、路線有關數據輸入計算機,運行計算程序
3.后視已知導線點B,配置水平度盤讀數至后視方位角
4.根據帶放點樁號判斷所處平曲線線段,計算放樣資料距離和方位角
5.利用角度、距離交會放出待定點
6.精確對點測距,用小鐵釘確定該點位置
7.檢查該點的樁號、方位、距離是否正確
文章內容來自網絡,如有侵權,請聯系刪除。
