spc是什么意思 spc管控什么意思

傳統觀念把檢驗作為質量保證的手段,只能事后判斷,而應用統計過程控制(Statistical Process Control)能夠把握先機,預防不合格品的出現,降低成本,提高企業運行效率。
統計過程控制(SPC)是應用統計技術對過程中的各個階段進行評估和監控,建立并保持過程處于可接受的且穩定的水平,從而保證產品與服務符合規定的要求的一種質量管理技術。
SPC強調全過程監控、全系統參與,并且強調用科學方法(主要是統計技術)來保證全過程的預防。SPC不僅適用于質量控制,更可應用于一切管理過程(如產品設計、市場分析等)。正是它的這種全員參與管理質量的思想,實施SPC可以幫助企業在質量控制上真正做到&34;事前&34;預防和控制,SPC可以:
1)對過程作出可靠的評估;
2)確定過程的統計控制界限,判斷過程是否失控和過程是否有能力;
3)為過程提供一個早期報警系統,及時監控過程的情況以防止廢品的發生;
4)減少對常規檢驗的依賴性,定時的觀察以及系統的測量方法替代了大量的檢測和驗證工作。
單變量統計過程控制
單變量統計過程控制是對一個變量的實時數據進行監控和評估,保持過程處于可接受的且平穩的水平,從而保證產品符合規定的要求。統計過程控制常用的分析工具主要有直方圖、控制圖和工序能力指數。
直方圖大家都很熟悉了,它可以描繪質量分布狀況,反應質量分散程度,得出數據是否服從正態分布,上圖里的P=0.503>0.05,服從正態分布。
控制圖是SPC中最重要的工具,它是對生產過程某一變量過程進行監測是否處于控制狀態,可以利用控制圖分析過程的穩定性,對過程存在的異常因素進行預警。
若控制圖中的點落在UCL與LCL之外或點在UCL和LCL之間的排列不是隨機的(根據異常點判別八條準則),則表明過程異常,需要查明原因并予以消除。
判別異常點的準則:
①有一個點在3σ的外部;
②連續5個點中有4個點在中心線同一側的1σ以外;
③連續3個點中有2個點在中心線同一側的2σ以外;
④連續9個點在中心線的一側;
⑤連續6個點穩定的上升或下降;
⑥連續15個點在中心線的上方或下方;
⑦連續14個點交互上升下降;
⑧連續8個點在中心線兩側,但未在1σ內。
工序能力是指工序處于控制狀態下的實際加工能力,工序能力指數客觀定量地反映了工序能力滿足技術要求的程度,因此可以根據工序能力指數的大小及其評定分級表,分析穩定的過程能力滿足技術要求的程度,并對過程質量進行評價。
傳統的統計過程控制是基于單變量統計控制的方法。單變量統計控制只能檢測單一測量變量的變化,而不能有效地提供關于多個變量相互作用的信息。而在現代生產過程中,往往需要測量大量的過程變量。單變量統計過程控制難以在這類過程中有效地發揮作用。另外,單變量統計過程控制也不適用于間歇過程。隨著快捷制造技術的推廣,適用于生產小批量高附加值產品如醫藥和精細化工產品的間歇過程已被越來越多地應用于工業生產中。多變量統計過程控制正是在這些應用需求的驅動下逐漸發展起來的。
多變量統計過程控制
在實際生產過程中,往往是很多因素共同影響生產的效果,這些因素變量之間往往是相互關聯的,傳統的單變量已經不能滿足現代的需求,需要對許多的性能指標和過程變量進行監視,隨著技術的發展,多變量統計過程控制(Multivariate Statistical Process Control,MSPC)出現了。
多變量統計過程控制通過統計量及控制限實時監測樣本的異常狀態來異常檢測,并根據貢獻圖來判斷出現異常的原因來實現故障診斷。
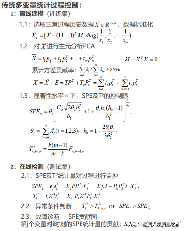
多變量統計過程控制可以分解為兩個步驟,第一步選取正常運行的數據當訓練集,離線建模;第二步,選取異常發生前后的數據當測試集進行在線檢測。
在離線建模中,需要建立一個反映生產過程正常運行的主成分模型。先把運行正常的數據收集起來作為訓練集,對這些數據進行主成分分析。由于主元分析的結果受到數據量綱尺度的影響,所以需要先將數據進行標準化。然后對標準化矩陣進行主成分分析,求出標準化矩陣的協方差矩陣,再對協方差矩陣進行特征值分解,得到特征值和特征向量,將特征值從大到小排序,根據累計方差貢獻率大于85%,選出前k個特征值及所對應的特征向量,根據k的值確定主成分模型。當顯著性水平為α時,根據公式計算生產系統正常情況下的SPE和T2統計量的控制限。
第二步在線檢測需要選取實際異常發生前后的數據當測試集,利用SPE和T2統計量結合其控制限對過程進行監控。SPE是采用的后15%主成分,反映了此時刻測試集上的測量值對主成分模型的偏離程度,T2是采取的前85%的主成分,通過主成分模型內部的主成分向量模的波動來反映多變量變化的情況。
將每一時刻的統計量與所對應的控制限進行比較,如果某一時刻的SPE或者T2統計量超過了它的控制限,就可以認為生產過程中出現了不正常的情況。上圖中分別是T2統計量和SPE統計量的控制圖,藍線分別是SPE和T2統計量,紅線是其各自的控制限。由T2控制圖可知,大概在第730個樣本點T2統計量檢測出生產系統出現了異常,由SPE控制圖可知,大概在第570個樣本點SPE統計量檢測出生產系統出現了異常。
最后利用貢獻圖中各個變量對此次異常發生的貢獻程度去判斷是系統的哪些變量導致的異常的出現。由上圖可知生產系統本次出現異常主要是由第39個變量所導致的。
多變量統計控制的成功應用能提高產品質量的一致性,提高生產過程的靈活性和能力,進而提高企業資產的有效利用率。通過對過程進行有效的監控,可以提高合格品率,從而降低由于再加工所引起的原材料和能源的消耗。通過對過程進行有效的監控,也能及早發現過程中的故障隱患,從而提高過程運行的安全性。
多變量統計過程控制在西方工業界的應用也剛剛開始,但它已被作為一種提高產品質量和過程運行能力,從而提高企業競爭能力的新技術而得到工業界的高度重視。隨著我國改革開放的不斷深入,國內企業所面臨的競爭也會加劇,提高產品質量,保持產品質量的高度一致性,提高過程的運行能力和靈活性,將是企業在競爭中得以存活和發展的保障。
參考資料
1.多變量統計過程控制[M].化學工業出版社,張杰,陽憲惠編著,2000
2.http://baike.baiduu.com/origin/item/SPC/722?fr=aladdin
3.http://wenku.baiduu.com/origin/view/de128ae8b1717fd5360cba1aa8114431b80d8e67.html
