<address id="v5f1t"><meter id="v5f1t"><dfn id="v5f1t"></dfn></meter></address>

<nobr id="v5f1t"><i id="v5f1t"><em id="v5f1t"></em></i></nobr>
      <font id="v5f1t"></font>

    <font id="v5f1t"><ruby id="v5f1t"></ruby></font>

      <listing id="v5f1t"></listing>

        <dfn id="v5f1t"><ruby id="v5f1t"><form id="v5f1t"></form></ruby></dfn>

            <dfn id="v5f1t"></dfn>

            <progress id="v5f1t"><b id="v5f1t"><strike id="v5f1t"></strike></b></progress>

              <font id="v5f1t"></font>

                      輔助角公式 輔助角公式口訣

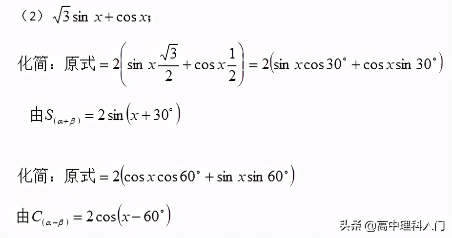
                      導讀綜上所述一般計算使用sin不使用cos輔助角公式,sin和cos的輔助角互余,有負號先提出負號,注意化簡完成后的檢驗。

                      綜上所述:一般計算使用sin不使用cos輔助角公式,sin和cos的輔助角互余,有負號先提出負號,注意化簡完成后的檢驗。

                      免責聲明:本文章由會員“李悅東”發布如果文章侵權,請聯系我們處理,本站僅提供信息存儲空間服務如因作品內容、版權和其他問題請于本站聯系
                      <address id="v5f1t"><meter id="v5f1t"><dfn id="v5f1t"></dfn></meter></address>

                      <nobr id="v5f1t"><i id="v5f1t"><em id="v5f1t"></em></i></nobr>
                          <font id="v5f1t"></font>

                        <font id="v5f1t"><ruby id="v5f1t"></ruby></font>

                          <listing id="v5f1t"></listing>

                            <dfn id="v5f1t"><ruby id="v5f1t"><form id="v5f1t"></form></ruby></dfn>

                                <dfn id="v5f1t"></dfn>

                                <progress id="v5f1t"><b id="v5f1t"><strike id="v5f1t"></strike></b></progress>

                                  <font id="v5f1t"></font>

                                          国产成人h片视频在线观看