分部積分公式 24個常用積分公式
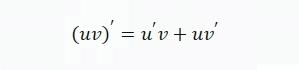
在高中數學中,我們學過微分法則,其中有一個重要的法則叫作乘積函數求導法則,它告訴我們如何求兩個函數相乘的導數。例如,如果我們有兩個函數u(x)和v(x),它們的乘積函數u(x)v(x)的導數就是
這個法則很有用,因為它可以幫助我們求一些復雜函數的導數。但是你有沒有想過,如果我們反過來,從這個法則出發,能不能得到一些關于積分的結論呢?答案是肯定的,這就是我們今天要介紹的分部積分法公式。
分部積分法公式的推導
要推導分部積分法公式,我們只需要對乘積函數求導法則兩邊同時求不定積分就可以了。也就是說,我們要求出下面這個等式的兩邊的原函數:
根據微積分基本定理,我們知道(uv)′的原函數就是uv,而u′v+uv′的原函數就是∫u′vdx+∫uv′dx。所以我們可以得到:
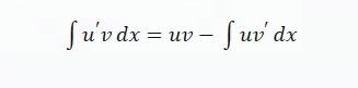
整理一下,就得到了分部積分法公式:
或者寫成另一種形式:
這個公式看起來很簡單,但是它卻有著非凡的作用。它可以幫助我們把一些難以直接求出的積分轉化成更容易求出的積分。下面我們來看幾個例子。
分部積分法公式的應用
這個積分看起來很復雜,因為它涉及到兩個不同類型的函數:冪函數和指數函數。如果我們直接用基本積分公式或者換元法來求解,可能會很麻煩。但是如果我們用分部積分法公式來處理,就會變得很簡單。我們只需要把被積函數看成兩個函數的乘積:u=x和v=e^x。那么根據公式,我們有:
其中C是任意常數。這樣我們就輕松地求出了這個積分。
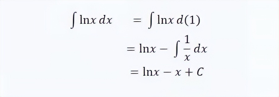
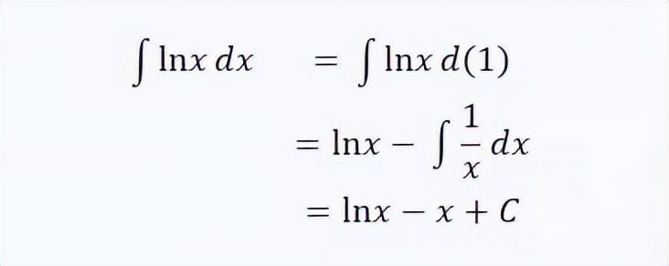
這個積分也不容易直接求出,因為它涉及到對數函數。如果我們用換元法來求解,可能會遇到一些困難。但是如果我們用分部積分法公式來處理,就會變得很方便。我們只需要把被積函數看成兩個函數的乘積:u=lnx和v=1。那么根據公式,我們有:
其中C是任意常數。這樣我們就輕松地求出了這個積分。
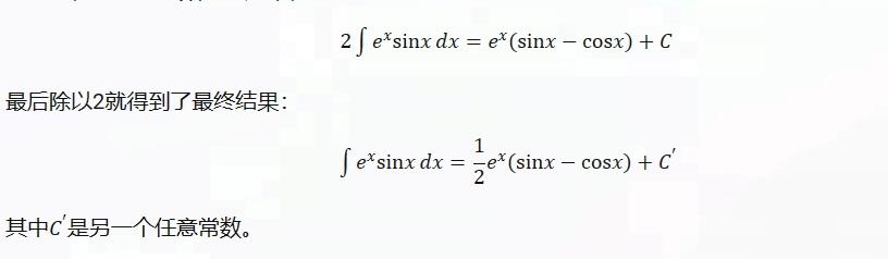
這個積分也比較復雜,因為它涉及到指數函數和三角函數。如果我們直接用基本積分公式或者換元法來求解,可能會很繁瑣。但是如果我們用分部積分法公式來處理,就會變得很巧妙。我們只需要把被積函數看成兩個函數的乘積:u=e^x和v=sinx。那么根據公式,我們有:
其中C是任意常數。注意到最后一步中又出現了原來要求的積分∫e^xsinxdx。這時候我們可以把它移到等號左邊,并且把系數合并起來,得到:
總結
通過上面的例子,我們可以看到分部積分法公式是一種非常強大而靈活的工具,它可以幫助我們簡化一些復雜的積分計算,并且提高我們對于不同類型函數之間關系的理解。當然,在實際應用中,并不是所有的積分都適合用這種方法來處理,有時候還需要結合其他方法或者技巧來求解。但是只要掌握了基本原理和技巧,并且多加練習和思考,相信你一定能夠運用自如,并且享受其中的樂趣。
舉報/反饋
