安培環路定理 安培環路定理求解步驟
英國科學期刊《物理世界》曾讓讀者投票評選了“最偉大的公式”,最終榜上有名的十個公 式里,有著名的E=mc2、復雜的傅立葉變換、簡潔的歐拉公式……但“麥克斯韋方程組”排 名第一,成為“世上最偉大的公式”。
小編將帶領大家一起來欣賞這個方程組的背后的故事和含義。
萬有引力般的超距作用力
很久以前,人類就對靜電和靜磁現象有所發現,但在漫長歷史歲月里,兩者井水不犯河水。
由于摩擦起電,在古希臘及地中海區域的古老文化里,早有文字記載,將琥珀棒與貓毛摩擦后,會吸引羽毛一類的物質,“電”的英文語源更是來自于希臘文“琥珀”一詞。
發現電與磁之間有著某些相似規律,則要追溯到物理學家庫侖的小小野心。1785年,庫侖精心設計了一個扭秤實驗,如圖所示,在細銀絲下懸掛一根秤桿,秤桿掛有一個平衡小球B和一個帶電小球A,在A旁還有一個和它一樣大小的帶電小球C。
A球和C球之間的靜電力會使得懸絲扭轉,轉動懸絲上端的懸鈕,進而使小球回到原來位置。在這個過程中,可通過記錄扭轉角度、秤桿長度的變化,計算得知帶電體A、C之間的靜電力大小。
庫侖扭秤實驗
庫侖扭秤實驗
實驗結果正如庫侖所料,靜電力與電荷電量成正比,與距離的平方反比關系。這一規律后來被總結為“庫侖定律”。隨后,庫侖對磁極進行了類似的實驗,再次證明:同樣的定律也適用于磁極之間的相互作用。這就是經典磁學理論。
庫侖發現了磁力和電力一樣遵守平方反比律,卻并沒有進一步推測兩者的內在聯系。和當時大多數數學物理學家一樣,他相信物理中的“能量、熱、電、光、磁”甚至化學中所有的力都可描述成像萬有引力般的超距作用力,而力的強度取決于距離。只要再努力找到幾條力學定律,那整個物理理論就能完整了!
庫侖這種天真的想法很快就被迅速打臉,萬有引力般的超距作用顯然沒有那么強大,但是庫侖定律的提出還是為整個電磁學奠定了基礎。
終成眷屬的電與磁
最先發現電和磁之間聯系的,是丹麥物理學家奧斯特。
1820年4月的一天,奧斯特在課堂上抱著試一試的想法,做了一次即興實驗。他把一根很細的鉑絲連在伏打電槽上,細鉑絲下擱著一個用玻璃罩的磁針,以往的實驗磁針與導線是垂直的,這次他特意讓磁針與細鉑絲平行。當著許多聽課學生的面,奧斯特接通電源,這時他發現,磁針果然擺動了一下!由于他實驗的電流很小,磁針的擺動不大明顯,在場的學生并沒有在意,然而奧斯特卻大喜過望,據說他當時高興得竟然在講臺上摔了一跤。又經過3個月深入地研究,奧斯特終于弄清楚了在通電導線的周圍,確實存在一個環形磁場。這正是他一直在尋找的電流的磁效應!
這一驚人的發現,首次將電學和磁學結合了起來。從此,電磁學蓬勃發展,有眼力的年輕人紛紛轉行投身其中進行深入研究,這當中就包括數學神童——安培。
當安培得知奧斯特發現電和磁的關系時,他立馬放棄了自己小有成就的數學研究,進軍物理學領域,并以其野獸般的敏銳直覺,提出了我們廣為熟知的右手螺旋定則,用來判斷磁場方向,如圖9-2所示,大拇指的方向為電流方向,四指的繞向為磁場方向。
安培右手螺旋定則
在實驗中,安培發現不僅通電導線對磁針有作用,而且兩根平行通電導線之間也有作用,同向電流相互吸引,反向電流相互排斥。
安培緊接著將電磁學研究真正數學化。他在1826年直接推導得到了著名的安培環路定理,用來計算任意幾何形狀的通電導線所產生的磁場,這一定理后來成為了麥克斯韋方程組的基本方程之一。
安培也由此成為了電磁學史上不容或缺的人物,被麥克斯韋譽為“電學中的牛頓”。
法拉第:
麥克斯韋背后的男人
1860年,麥克斯韋見到了他生命中最重要的男人:法拉第。
法拉弟喚醒了麥克斯韋方程組中除了安培環路定理之外的另一個基本方程,是麥克斯韋成功邁向電磁學巔峰的背后的男人。
1831年,法拉第發現了磁與電之間的相互聯系和轉化關系。只要穿過閉合電路的磁通量發生變化,閉合電路中就會產生感應電流,如圖9-3所示。這種利用磁場產生電流的現象被稱為電磁感應,產生的電流叫做感應電流。
電磁感應實驗
電磁感應實驗
大多數人還沉迷于用超距力理論來對電和磁的現象做出解釋。而法拉第卻播下了一顆與眾不同的思維火種,他以自己的慧眼看到了力線在整個空間里穿行,如圖9-4,這實際是否認了超距作用的存在。他還設想了磁鐵周圍存在一種神秘且不可見的“電緊張態”,即我們今天所稱之為的“磁場”。他斷定電緊張態的變化是導致電磁現象產生的原因,甚至猜測光本身也是一種電磁波。
法拉第力線示意圖
法拉第發現電磁感應這一年,恰逢麥克斯韋誕生。
整整40歲的年齡差,可麥克斯韋在讀到法拉第《電學實驗研究》一書時,還是輕易地就被法拉第的魅力吸引。數理功底扎實的他,決定用數學定量表述法拉第的電磁理論。
1855年麥克斯韋發表了第一篇電磁學論文《論法拉第的力線》,通過數學方法,他把電流周圍存在磁力線的特征,概括為一個矢量微分方程,導出了法拉第的結論。而在這一年,法拉第告老退休,看到論文時大喜過望,立刻尋找這個年輕人,可是麥克斯韋卻杳如黃鶴,不見蹤影。
直到5年后,孤獨的法拉第在1860年終于等來了麥克斯韋,看著眼前這個不善言辭卻老實誠懇的年輕小伙,法拉第面露喜色,語重心長地囑咐:“你不應停留于用數學來解釋我的觀點,而應該突破它!”聽了這句話,麥克斯韋雖表面波瀾不驚,內心卻洶涌澎湃,他開始全力進攻電磁學。
1862年麥克斯韋發表了第二篇電磁學論文《論物理力線》,這不再是簡單地將法拉第理論進行數學翻譯,這一次他首創“位移電流”概念,預見了電磁波的存在。兩年后他發表第三篇論文《電磁場的動力學理論》,在這篇論文里,他完成了法拉第晚年的愿望,驗證了光也是一種電磁波。
最后,麥克斯韋在1873年出版了他的電磁學專著《電磁學通論》。
這是電磁學發展史上一個劃時代的里程碑。在這部著作里,麥克斯韋總結了前輩們各大定律,以他特有的數學語言,建立了電磁學的微分方程組,揭示了電荷、電流、電場、磁場之間的普遍聯系。這個電磁學方程,就是后來以他的名字著稱的“麥克斯韋方程組”。
世上最偉大的公式
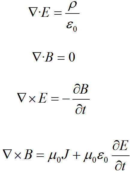
麥克斯韋方程組
花開兩朵,各表一枝。以電磁的藍色火花幻化成的4個完美無缺的公式,共有積分和微分兩種綻放形式。
以積分為對象,我們來解讀一番麥克斯韋方程組專屬數學語言背后的含義。
(1)電場的高斯定律:
第一個式子是高斯定律在靜電場的表達式,其中S是曲面積分的運算曲面,E是電場,ds是閉合曲面上的微分面積,是真空電容率(絕對介電常數),Q是曲面所包含的總電荷。它表示,穿過某一封閉合曲面的電通量與閉合曲面所包圍的電荷量Q成正比,系數是。
在靜電場中,由于自然界中存在著獨立的電荷,電場線有起點和終點,始于正電荷,終止于負電荷,如圖9-5所示。只要閉合面內有凈余電荷,穿過閉合面的電通量就不等于零。計算穿過某給定閉合曲面的電場線數量,即其電通量,可以得知包含在這閉合曲面內的總電荷。
靜電場電荷
高斯定理反映了靜電場是有源場這一特性,即它描述了電場的性質。
(2)磁場的高斯定律:
第二個式子是高斯磁定律的表達式。其中,S、ds物理意義同上,B是磁場,它表示磁場B在閉合曲面上的磁通量等于0,磁場里沒有像電荷一樣的磁荷存在。
在磁場中,由于自然界中沒有磁單極子存在,N極和S極是不能分離的,磁感線都是無頭無尾的閉合線,如圖9-6所示,所以通過任何閉合面的磁通量必等于零,即磁場是無源場。
圖9-6 磁場與磁感線
這一定律和電場的高斯定律類似,它論述了磁單極子是不存在的,描述了磁場性質。
(3)法拉第定律:
第三個式子
是法拉第電磁感應定律的表達式。
這個定律最初是一條基于觀察的實驗定律,通俗來說就是“磁生電”,它將電動勢與通過電路的磁通量聯系了起來,如圖9-7所示。
電磁感應
在此式中,L是路徑積分的運算路徑,E是電場,dl是閉合曲線上的微分,代表穿過閉合路徑L所包圍的曲面S的磁通量(計算如式二左邊),表示磁通量對時間的導數。
它表示電場E在閉合曲線上的環量,等于磁場B 在該曲線包圍的曲面S上通量的變化率,即閉合線圈中的感應電動勢與通過該線圈內部的磁通量變化率成正比,系數是-1。
這一定律反映了磁場是如何產生電場的,即它描述了變化的磁場激發電場的規律。按照這一規律,當磁場隨時間而變化時可以感應激發出一個圍繞磁場的電場。
(4)麥克斯韋—安培定律:
第四個式子是麥克斯韋將安培環路定理推廣后的全電流定律。
其中,左邊L、B、dl物理意義同上,分別是路徑積分的運算路徑、磁場、閉合曲線上的微分。右邊是磁常數,Ι是穿過閉合路徑L所包圍的曲面的總電流,是絕對介電常數,是穿過閉合路徑L所包圍的曲面的電通量(計算如式一左邊),表示電通量對時間t的導數,也即變化率。
它表示,磁場B在閉合曲線上的環量,等于該曲線包圍的曲面S里的電流Ι(系數是磁常數),加上電場E在該曲線包圍的曲面S上的通量的變化率(系數是)。
原安培環路定律是一系列電磁定律,它總結了電流在電磁場中的運動規律,如圖9-8所示。安培定律表明,電流可以激發磁場,但它只限用于穩恒磁場。
安培環路定理
因此,麥克斯韋將安培環路定理推廣,提出一種“位移電流”假設,得出一般形式下的安培環路定律,揭示出磁場可以由傳導電流激發,也可以由變化電場的位移電流所激發。
傳導電流和位移電流合在一起,稱為全電流,這就是麥克斯韋—安培定律。
這一定律反映了電場是如何產生磁場的,即描述了變化的電場激發磁場的規律。這一規律和法拉第電磁感應定律相反:當電場隨時間變化時,會誘導一個圍繞電場的磁場。
一言以蔽之,這一組積分方程由4個式子組成,其中2個關于電場、2個關于磁場,一起反映了空間某區域的電磁場量(E、B)和場源(電荷q、電流I)之間的關系。
從數學上來說,積分和微分互為逆運算。
因此,如果將這一組積分方程進行轉化,就可以得出一組如下的微分方程,兩者數學形式不同,但物理意義是等價一致的,在實際應用中,微分形式會出現得頻繁些。
它們表明,電場和磁場彼此不是孤立的,變化的磁場可以激發渦旋電場,變化的電場可以激發渦旋磁場,它們永遠密切地聯系在一起,相互激發,組成一個統一的電磁場的整體。
這就是麥克斯韋方程組的基本概念,也是電磁學的核心思想。
或許,并不是每個人都能看懂這個公式,但任何一個能把這幾個公式看懂的人,都一定會感到背后有股涼風。雖然自然界冥冥之中自有感應,但怎么有人能解釋如此完美的方程?
這組公式融合了電的高斯定律、磁的高斯定律、法拉第定律以及安培定律,完美地揭示了電場與磁場相互轉化中產生的對稱性優美,統一了整個電磁場。比較謙虛的評價是:“一般地,宇宙間任何的電磁現象,皆可由此方程組解釋。”
光電磁一統江湖
與后世獲得如此盛譽相反的是,麥克斯韋方程組首次亮相時,其實幾乎無人問津。
麥克斯韋預言了電磁波的存在,并從方程組中推測出光是一種電磁波。人們對于這個尚未得到實驗驗證的理論懷疑甚深,世界上只有少數科學家愿意接受這個理論并給予支持,赫茲就是其中一位。
他是第一個研究驗證麥克斯韋觀點的人,盡管他與麥克斯韋素未謀面,卻對這位前輩的理論深信不疑,并自1886年起就孜孜不倦地地投入到尋找電磁波的研究之中。
赫茲的實驗裝置極為簡單,主要是由他設計的電磁波發射器和探測器組成,但這拉開了無線電運用的序幕,成為了后來無線電發射器和接收器的開端。
赫茲實驗示意圖
1888年的初春,赫茲通過其他實驗證明了光是一種電磁現象,可見光僅僅只是電磁波的一種。
在麥克斯韋年代尚屬完全未知的不可見光,經赫茲的開拓性研究帶來了無線電波后,不可見光在后世可是發揮了巨大威力,演化成了現代科技的源泉。正如赫茲所感慨的:“麥克斯韋方程組遠比它的發現者還要聰明。”
以后人的角度來看,這組方程的最大貢獻在于明確解釋了電磁波怎樣在空間傳播。
根據法拉第感應定律,變化的磁場會生成電場;根據麥克斯韋-安培定律,變化的電場生又成了磁場,正是這不停的循環使得電磁波能夠自我傳播,如圖9-10所示。
電磁波
但這種對物質世界的新描繪,打破了當時固有的思維,引起一片嘩然。
光的本性是什么?究竟粒子還是波?有關這一問題,人類已喋喋不休地爭論了幾個世紀。直到托馬斯·楊的雙縫干涉實驗的出現,才吹響了第二次波粒戰爭的號角,波動說臥薪嘗膽多年也終于找到了絕地反擊的機會。尤其在麥克斯韋預言“光是一種波”以及這一預言為赫茲的實驗所證實后,波動說更是意氣風發,把微粒說弄得灰頭土臉。
當時,麥克斯韋提出:電可以變成磁,磁可以變成電,電和磁的這種相互轉化和震蕩不就是一種波嗎?電磁場的振蕩是周期存在的,這種振蕩叫電磁波,一旦發出就會通過空間向外傳播。但更神奇的是,當他用方程計算電磁波的傳播速度時,結果接近300000公里/秒,恰與光的傳播速度一致。這顯然不只是個巧合。
電磁擾動就是光,光在本質上不過是電場和磁場的擾動。
借助麥克斯韋的這一睿智洞察和后來赫茲鐵證如山的驗證,人類成功地在認識光的本性上跨越了一大步。波動說也開始開疆擴土,太陽光不過只是電磁波的一種可見的輻射形態。不限于普通光線,我們可以向不可見光進軍,從無線電波到微波,從紅外線到紫外線,從X射線到Y射線……將這些電磁波按照波長或頻率的順序排列起來,就形成了電磁波譜。
而后,無線電波用于通信、微波用于微波爐、紅外線用于遙控、紫外線用于醫用消毒……這些不同形式的“光”逐漸組成了現代科技的根基。因此可以說,如果沒有麥克斯韋,收音機、電視、雷達、電腦等有關電磁波的東西都將不復存在。
一統光電磁,完成了科學史上第二次偉大的綜合之后,麥克斯韋于1879年溘然長逝。也就在這年,一個嬰兒誕生了,這個嬰兒名為愛因斯坦。
52年后,這個已長大成人的嬰兒,于麥克斯韋百年誕辰的紀念會上盛贊麥克斯韋對物理學做出了“自牛頓以來的一次最深刻、最富有成效的變革”。并一生都以麥克斯韋方程組為科學美的典范,試圖以同樣的方式統一引力場,將宏觀與微觀的兩種力放在同一組式子中。
往后,這一信念深刻影響了整個物理界,在“大一統理論”這條路上,物理學家們前赴后繼地探究著科學的終極。
來源:量子學派,有刪減,如有侵權請聯系刪除
