積分中值定理 積分中值定理失效
今天是高等數學專題的第12篇,我們繼續來看定積分。
之前在講微分求導內容的時候,介紹過一系列微分中值定理的推導。既然有微分中值定理,那么自然也有積分中值定理,我們下面就來看看積分中值定理的定義。
極值定理
極值定理也叫最大最小值定理,它的含義非常直觀:如果函數f(x)在區間[a,b]上連續的函數,必然存在最大值和最小值,并且取到最大值和最小值至少一次。
這是一個非常有名的定理,定理的內容很直觀,也不難理解。但是證明它不太容易,是由區間套定理與B-M定理等多個定理推導得到的,這段證明過程比較復雜,由于篇幅和水平的限制,本文當中只能跳過這部分,感興趣的同學可以自行了解。
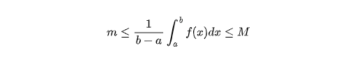
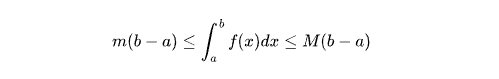
我們假設m和M分別是區間[a, b]上函數f(x)的最小值和最大值,那么根據極值定理,可以得到以下式子成立:
這個式子光看可能會覺得有些復雜,但是我們把圖畫出來之后非常簡單:
上圖當中灰色陰影部分就是定積分的結果,藍色的矩形面積是m(b-a),大的矩形面積是M(b-a)。
通過幾何面積的關系我們可以很容易證明結論。
數學證明也很簡單,由于m和M分別是最小值和最大值,所以我們可以得到 m <= f(x) <= M。我們把常數也看成是函數,進行積分,于是可以得到:
兩邊積分的結果就是矩形面積,于是我們就得到了證明。
積分中值定理
極值定理非常簡單,但是是很多定理的基礎,比如我們的積分中值定理就和它密切相關。
我們對上面的式子做一個簡單的變形,由于b-a是常數并且大于0,所以我們在
這個不等式兩邊同時除以b-a,可以得到:
我們把
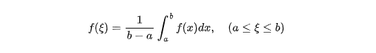
這個式子看成一個整體,它的值位于函數在區間的最大值和最小值之間。根據連續函數的介值定理,我們一定可以在[a, b]上找到一點 ξ,使得f(x)在 ξ 這點的取值與這個數值相等,也就是說:
上面這個式子就是積分中值定理了,這里有兩點要注意,我們先來說簡單的一點,就是我們用到了連續函數介值定理。所以限定了這必須是一個連續函數,否則的話,可能剛好函數在ξ點處沒有定義。這個也是定理成立的先決條件。
第二點是簡單介紹一下連續函數的介值定理,它的含義是說對于一個在區間[a, b]上連續的函數,對于任一在其最大值和最小值之間的常數,我們必然可以在區間[a, b]上找到一點,使得該點的函數值等于這個常數。
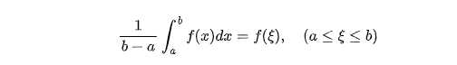
搞明白這些細節之后,我們再來看剛才的式子:
我們再把常數乘回來:
右邊的積分算的是什么,算的是函數圍成的曲形的面積,但是現在我們轉化成了一個函數值乘上了寬,所以我們可以把它看成是矩形的高,我們來看下下面這張圖。
也就是說以 f(ξ) 為高的矩形面積和函數圍成的曲形面積相等,所以它既是矩形的高,也真的是函數在[a, b]上的平均值。
總結
中值定理是微積分領域當中最重要的定理,幾乎沒有之一,也是整個微積分搭建起來的脈絡。我們熟悉中值定理的推導過程,對于我們對加深對于微積分的理解非常有幫助。更重要的一點是,相對來說,這兩個定理的推導過程都不是很難,而且還蠻有意思的,所以推薦大家都親自上手試一試。
今天的文章就是這些,如果覺得有所收獲,請順手點個關注或者轉發吧,你們的舉手之勞對我來說很重要。
