韋達定理公式 正弦定理七個變形公式
導讀人教版教材把根與系數的關系作為選修內容,但是高中數學中韋達定理應用相當廣泛,所以最好在初中就掌握到一定程度。一、根與系數的關系的推導對于一元二次方程的一般式ax2+bx+c=0
人教版教材把根與系數的關系作為選修內容,但是高中數學中韋達定理應用相當廣泛,所以最好在初中就掌握到一定程度。
一、根與系數的關系(韋達定理)的推導
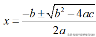
對于一元二次方程的一般式:ax2+bx+c=0(a≠0)
根據求根公式,當△≥0時,方程有兩個實數根:
即:
我們試著求兩根之和與兩根之積:
于是,我們得到了根與系數的關系,由于法國數學家韋達第一個發現了這個關系,所以我們把其稱為韋達定理:
視頻加載中...
二、韋達定理的一些拓展
①若兩根互為相反數,則b=0
②若兩根互為倒數,則a=c
③若一根為0,則c=0
④若a、c異號(ac<0),方程一定有兩個不等實根
(因為此時△=b2-4ac>0)
⑤一些特殊代數式值(對稱代數式)
三、韋達定理的應用
【題型1】不解不解方程求方程的兩根和與兩根積
【題型2】求特殊代數式(對稱代數式)的值
【題型3】求待定系數(參數)的值(及綜合)
四、練習題
免責聲明:本文章由會員“高原遠”發布如果文章侵權,請聯系我們處理,本站僅提供信息存儲空間服務如因作品內容、版權和其他問題請于本站聯系
