根號3等于多少 根號符號
導讀在工作和生活中,我們有時會在沒有計算器的情況下對開平方做近似計算,尤其是在公務員考試的行政能力測驗中,如果要計算兩年平均增長率就會計算開方。我向大家介紹一種近似計算方法,這種計算方法非常容易掌握,而且
在工作和生活中,我們有時會在沒有計算器的情況下對開平方做近似計算,尤其是在公務員考試的行政能力測驗中,如果要計算兩年平均增長率就會計算開方。我向大家介紹一種近似計算方法,這種計算方法非常容易掌握,而且精度較高。先講具體步驟,再講其數學原理。
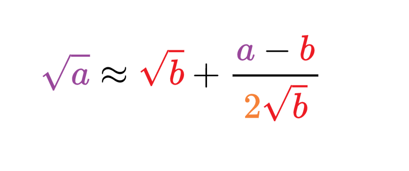
1.計算公式
比如現在計算要對a進行開平方(原諒我用這種表述,主要是編輯公式太麻煩[呲牙]),找到和a最接近的平方數,記這個平方數為b,然后按照下面的公式計算即可。如果大家找到的平方數和要開方的數不是最接近的,也可以用這個方法計算,只是精度要差一些。
計算公式
2.舉例
比如現在計算要對29進行開平方,找到和29最接近的平方數,顯然這個平方數為25,帶入公式計算得5.4,如題1所示。利用計算器計算得結果為5.385(保留三位小數)。
圖1
再比如現在要計算根號128,找到和128最接近的平方數121(11的平方),代入公式計算得11.318,如圖2所示。利用計算器計算得結果為11.314(保留三位小數)。
圖2
再舉一個例子,計算根號165,找到和165最接近的平方數169(13的平方),代入公式計算得12.846,如圖2所示(注意觀察計算過程中出現的負數)。利用計算器計算得結果為12.845(保留三位小數)。
圖3
3.數學原理
其實就是泰勒公式的一階情況。
免責聲明:本文章由會員“劉原遠”發布如果文章侵權,請聯系我們處理,本站僅提供信息存儲空間服務如因作品內容、版權和其他問題請于本站聯系
