微積分基本公式 微積分入門自學教程
怎樣求曲線x2和直線x=0、x=10、x軸圍成的面積?
1 近似、暴力的方法:先分割、后求和
就是把不規則的圖形分割為n個小的規則(梯形或矩形)的圖形,計算n個小的規則的圖形的面積,累加起來去近似整體的面積。
如果是這樣的一塊田地,測量人員要去測量的話,他們會怎樣做呢?一般會通過一個三角形去近似。會量一個底為10,高為70左右的一個三角形,面積大概是350左右。
如果將區間[0,10]分成10個小區間,每個小區間的長度dx為1,在每個小區間[ti,tj]取點ξi(等于ti+0.5),每個dy=(ti+0.5)2,則將整個面積劃分為10個長方形:
小區間求和的Σ的形式就是:
=0.52+1.52+2.52+3.52+4.52+5.52+6.52+7.52+8.52+9.52=332.5
2 極限或無窮的方法
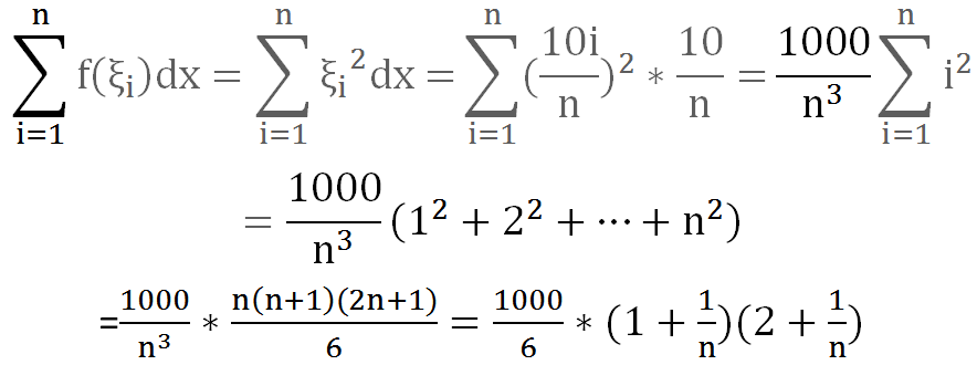
引用極限或無窮的概念,如果上述的dx→0(n→∞),ξi取每個小區間的右端點:
有
當n→∞,上述=1000/3
3 定積分的方法
也可以用定積分的形式表示:
dx表示自變量在區間[0,10]的微分,x2dx表示整個面積的微分,符號∫是英文“sum"首字母“s”的拉長,表示面積微分的累加。
下面我們就一般情形來討論定積分的近似計算問題。
若函數f(x)在區間[a,b]上連續,則下式定積分存在。
我們將區間[a,b]分成n個長度相等的小區間
每個小區間的長度均為dx=(b-a)/n,每個小區間任取ξi,則有
(上限無窮分割或定積分的方法不一定能求出極限值。)
4 由定積分變上限積分的面積函數
上面的定積分所計算出的都是一個特定的值(注意“定”這個字),不是一般的函數關系表達式。我們需要研究一般規律的函數關系表達式(不包含符號∫,這樣就可以不是每次都用極限的方法而用代入的方法可以直接求出)。能不能找到一個關于x的面積函數,也就是曲線x2和直線x取任意值、x軸圍成的面積函數,給出x的值,即可求出面積。
這樣的面積函數的積分表達式可以表示為:
面積函數F(x)如何用沒有∫符號的表達式表示?可以考慮的思路是,F(x)肯定與曲線函數x2有相關關系。
我們可以考慮x2曲線以外的一般情形y=f(t),面積函數為A(x),如下圖:
關鍵在于找出F(x)或A(x)的一般表達式,這個表達式是積分表達式的替代,從積分表達式可以看出,與面積微分f(t)dx或f(x)dx肯定有關系,是什么關系呢?
5 由變上限積分的面積函數到一般表達式的面積函數
當積分的上限為x,在此基礎上,做自變量x和面積函數的微分,自變量x增加一個極小值h(dt):
上圖淡紅色的陰影部分, 當 h 很小的時候幾乎為小豎條, 所以可以用計算長方形面積的方法來估算該豎條的面積, 它的底從x 到x+h, 高從0 到f(x), 所以面積是 h*f(t) , 也就是:
表達式h·f(x)就是面積函數F(x)的微分,函數的微分/自變量的微分稱為微商,也稱為導函數或導數,用F‘(x)表示。導數的形式在一定情形比微分的形式更簡潔,微分也可以由導數迂回求得,如上式可有如下推導:
由此可見,曲線函數f(x)的反導數就是面積函數F(x),這就是微積分的基本定理。
上述黑色部分的面積可以表示為:F(x)-F(a),這就是微積分的基本公式。
函數的導數是一個函數的因變量相對于自變量變化的快慢,即“變化率”。可以用來求函數的最值、曲線在某一點的切線的斜率、變速運動的瞬時速度。
導數中引入了無窮小與極限的概念,但近似的表達式中卻可以去掉無窮小與極限的符號,讓表達式變得更簡潔,如:
類似的
再回到下式:
x2的反導數為1/3x3,所以上述所需求出的面積為:F(10)-F(0)=1000/3。
當然如果想求曲線x2和直線x=5、x=10、x軸圍成的面積:F(10)-F(5)=1000/3-125/3=875/3=291.6。
6 從變速直線運動中路程函數與速度函數再看導數與積分的關系
設物體沿一直線做變速運動,在時間t時,其路程函數為s(t),速度函數為v(t),則在時間段[T1,T2]內,由定積分定義可知,物體經過的路程為
另一方面,S也可用路程函數s(t)的增量ΔS=S(T2)-S(T1)來表示,從而有關系式
由于S‘(t)=v(t),即路程函數是速度函數v(t)的反導數,定積分由無限求和變成了求差。
如v(t)=t(8-t)
由(t(8-t))'=8-2t=0,求得當t=4m時,物體的最大速度是16m/s。速度v∈[0,16],時間[0,8],路程S粗略估計應該小于16*8=128m。
S(t)=F(t)=∫(t(8-t)dt=4t2-1/3t3
上式符號∫表示不定積分,表達式∫(t(8-t)dt表示求函數t(8-t)的反導數或不定積分。
S=4t2-1/3t3=4*82-1/3*83=85.33m
reference:
「微積分基本定理」圖解普林斯頓微積分讀本14
3blue1brown.com:微積分的本質,積分,導數的基本定理
3blue1brown.com:積分與微積分基本定理,積分是什么?
微積分基本定理(一)
之微積分基本定理(二)
單維彰:微積分入門
-End-
