麥克斯韋方程組 麥克斯韋方程組并解釋
2004年,英國的科學期刊《物理世界》舉辦了一個活動:讓讀者選出科學史上最偉大的公式。結果,麥克斯韋方程組力壓質能方程、歐拉公式、牛頓第二定律、勾股定理、薛定諤方程等”方程界“的巨擘,高居榜首。
麥克斯韋方程組以一種近乎完美的方式統一了電和磁,并預言光就是一種電磁波,這是物理學家在統一之路上的巨大進步。很多人都知道麥克斯韋方程組,知道它極盡優美,并且描述了經典電磁學的一切。但是,真正能看懂這個方程組的人卻不多,因為它不像質能方程、勾股定理這樣簡單直觀,等式兩邊的含義一眼便知。畢竟,它是用積分和微分的形式寫的,而大部分人要到大學才正式學習微積分。
不過大家也不用擔心,麥克斯韋方程組雖然在形式上略微復雜,但是它的物理內涵確是非常簡單的。而且,微積分也不是特別抽象的數學內容,大家只要跟著小編的思路,看懂這個“最偉大“的方程也不會是什么難事?
01電磁統一之路
電和磁并沒有什么明顯的聯系,科學家一開始也是獨立研究電現象和磁現象的。這并不奇怪,誰能想到閃電和磁鐵之間會有什么聯系呢?
1820年,奧斯特在一次講座上偶然發現通電的導線讓旁邊的小磁針偏轉了一下,這個微小的現象并沒有引起聽眾的注意,但是可把奧斯特給高興壞了。他立馬針對這個現象進行了三個月的窮追猛打,最后發現了電流的磁效應,也就是說電流也能像磁鐵一樣影響周圍的小磁針。
消息一出,物理學家們集體炸鍋,立馬沿著這條路進行深入研究。怎么研究呢?奧斯特只是說電流周圍會產生磁場,那么這個電流在空間中產生的磁場是怎么分布的呢?比方說一小段電流在空間某個地方產生的磁感應強度的多大呢?這種思路拓展很自然吧,定性的發現某個規律之后必然要試圖定量地把它描述出來,這樣我不僅知道它,還可以精確的計算它,才算完全了解。
三個月,在奧斯特正式發表他的發現僅僅三個月之后,畢奧和薩伐爾在大佬拉普拉斯的幫助下就找到了電流在空間中產生磁場大小的定量規律,這就是著名的畢奧-薩伐爾定律。也就是說,有了畢奧-薩伐爾定律,我們就可以算出任意電流在空間中產生磁場的大小,但是這種方法在實際使用的時候會比較繁瑣。
又過了兩個月之后,安培發現了一個更實用更簡單的計算電流周圍磁場的方式,這就是安培環路定理。順便,安培還總結了一個很實用的規律來幫你判斷電流產生磁場的方向,這就是安培定則(也就是高中學的右手螺旋定則)。
至此,電生磁這一路的問題“似乎”基本解決了,我們知道電流會產生磁場,而且能夠用安培環路定理(或者更加原始的畢奧-薩伐爾定律)計算這個磁場的大小,用安培定則判斷磁場的方向。那么,我們現在知道怎么單獨描述電和磁,知道了電怎么生磁,秉著對稱的思想,我怎么樣都要去想:既然電能夠生磁,那么磁能不能生電呢?
由于種種原因,奧斯特在1820年發現了電生磁,人類直到11年后的1831年,才由天才實驗物理學家法拉第發現了磁生電的規律,也就是電磁感應定律。法拉第發現磁能生電的關鍵就是:他發現靜止的磁并不能生電,一定要變化的磁才能生電。
發現電磁感應定律之后,我們知道了磁如何生電,有了安培環路定理,我們就知道電流如何產生磁場。咋一看,有關電磁的東西我們好像都有解決方案了。其實不然,我們知道安培環路定理是從奧斯特發現了電流周圍會產生磁場這一路推出來的,所以它只能處理電流周圍表示磁場的情況。
但是,如果沒有電流呢?如果我壓根就沒有導線讓你可以形成電流,如果僅僅是電場發生了變化,那么這樣能不能產生磁場呢?你想想,根據電磁感應定律,變化的磁場是可以產生電場的。所以,反過來猜想變化的電場能否產生磁場并不奇怪。而這,正好是安培環路定理缺失的部分。
于是,麥克斯韋就對安培環路定理進行了擴充,把變化的電場也能產生磁場這一項也添加了進去,補齊了這最后一塊短板。
到這里,電和磁的統一之路就走得差不多了,麥克斯韋方程組的基本形式也呼之欲出了。這里我先讓大家考慮一下:我們都知道麥克斯韋方程組描述了經典電磁學的一切,而且它是由四個方程組成的。那么,如果讓你選擇四個方程來描述電磁里的一切,你大致會選擇四個什么樣的方程呢?
此處思考一分鐘……
我不知道大家是怎么考慮的,反正我覺得下面這條思路是很自然的:如果要用四個方程描述電磁的一切,那么我就用第一個方程描述電,第二個方程描述磁,第三個方程描述磁如何生電,第四個方程描述電如何生成磁。嗯,好巧,麥克斯韋方程組就是這樣的~
所以,我們學習麥克斯韋方程組,就是要看看它是如何用四個方程優雅自洽地描述電、磁、磁生電、電生磁這四種現象的。接下來我們就來一個個地看。
02庫侖的發現
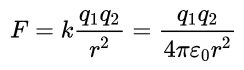
在奧斯特發現電流的磁效應之前,人類已經單獨研究電研究了好長時間,人們發現電荷有正負兩種,而且同性相斥,異性相吸。后來庫倫發現了電荷之間相互作用的定量關系,它發現電荷之間的作用力跟距離的平方成反比的。也就是說,如果我把兩個電荷之間的距離擴大為原來的兩倍,這兩個電荷之間的作用力就會減少為原來的四分之一,擴大為三倍就減少為九分之一。
這個跟引力的效果是一樣的,引力也是距離擴大為原來的兩倍,引力的大小減少為原來的四分之一。為什么大自然這么偏愛“平方反比”規律呢?因為我們生活在一個各向同性的三維空間里。
什么意思?我們可以想想:假設現在有一個點源開始向四面八方傳播,因為它攜帶的能量是一定的,那么在任意時刻能量達到的地方就會形成一個球面。而球面的面積公式S=4πr2(r為半徑),它是跟半徑的平方r2成正比的,這也就是說:我們同一份能量在不同的時刻要均勻的分給4πr2個部分,那么每個點得到的能量就自然得跟4πr2成反比,這就是平方反比定律的更深層次的來源。
因此,如果我們生活在四維空間里,我們就會看到很多立方(三次方)反比的定律,而這也是科學家們尋找高維度的一個方法。許多理論(比如超弦理論)里都有預言高維度,科學家們就去很小的尺度里測量引力,如果引力在一個很小的尺度里不再遵循平方反比定律,那就很有可能是發現了額外的維度。
好了,從更深層次理解了靜電力遵循平方反比定律后,要猜出靜電力的公式就是很簡單的事情了。因為很明顯的,兩個電荷之間的靜電力肯定跟兩者的電荷量有關,而且還是電荷越大靜電力越大,加上距離平方反比規律,兩個電荷之間的靜電力大致就是下面這樣的了:
這就是我們中學學的庫倫定律:兩個電荷之間的靜電力跟兩個電荷量的乘積成正比,跟它們距離的平方成反比,剩下的都是常數。q1、q2就是兩個電荷的電荷量,ε0是真空的介電常數(是跟電相關的常數),我們熟悉的球面積公式S=4πr2赫然出現在分母里,這是三維空間平方反比規律的代表。
庫倫定律是一個實驗定律,也就說庫倫做了很多實驗發現兩個電荷之間確實存在著一個這么大小的靜電力,但是它并沒有告訴你這個靜電力是如何傳遞的。兩個并沒有接觸的物體之間存在某種力,一個常見的想法就是這兩個物體之間存在著某種我們看不見的東西在幫它們傳遞作用力,那么這種東西是什么呢?有人認為是以太,有人認為是某種彈性介質,但是法拉第說是力線,而且這種力線不是什么虛擬的輔助工具,而是客觀的物理實在。它可以傳遞作用力,也可以具有能量。這些思想慢慢形成了我們現在熟知的場。
03電場的疊加
有了場,我們就可以更加細致的描述兩個電荷之間的相互作用了。為什么兩個電荷之間存在這樣一個靜電力呢?因為電荷會在周圍的空間中產生一個電場,這個電場又會對處在其中的電荷產生一個力的作用。這個電場的強度越大,電荷受到的力就越大,正電荷受力的方向就是這點電場的方向。所以,電場具有大小和方向,這是一個矢量。
為了直觀形象的描述電場,我們引入了電場線。電場線的密度剛好就代表了電場強度的大小,而某點電場線的切線方向就代表了該處電場的方向。一個正電荷就像太陽發光一樣向四周發射電場線,負電荷就匯集電場線。
這些內容大家在中學的時候應該都學了,我就一筆帶過,接下來我們考慮一個稍微復雜一點的問題:庫倫定律告訴了我們兩個點電荷之間靜電力的大小,那么我們就可以根據這個求出一個點電荷周圍的電場強度。然而,一個點電荷是最簡單的情況,如果帶電源再復雜一點呢?如果我有很多個電荷,或者說我直接就是一塊形狀不規則的帶電體,這時候我們要怎么求它產生的電場呢?
一個很簡單自然的想法就是:如果有很多個電荷,我就把每個電荷在這點產生的電場強度算出來,再把它們疊加起來就行了。如果這是一個連續的帶電體(比如一根帶電的線),那我們就再次舉起牛頓爵爺留給我們的微積分大刀,嘩啦啦地把這個帶電體切成無數個無窮小的部分,這樣每一個無窮小的部分就可以看做一個點電荷,然后把這無數個點電荷在那點產生的電場強度疊加起來(就是積分)就行了。
我們上面的思路其實就是秉著“萬物皆可切成點,萬物皆可積”的精神,強行讓庫倫定律和微積分聯姻,“硬算”出任何帶電體在任意位置的場強。這在原理上是行得通的,沒問題,但是在具體操作上就很復雜了,有沒有更簡單優雅一點的辦法呢?
有,不過這需要我們換個角度看問題。物理學研究物體運動變化的規律,但是物體時時刻刻都處在變化之中,你要怎么去尋找它的規律呢?這里就涉及到科學研究的一個重要思想:把握變化世界里那些不變的東西。
牛頓發現一切物體在運動中都有某種共同不變的東西,不管物體怎樣運動,受到什么樣的力,這個東西只由物體的密度和體積決定,于是牛頓從中提煉出了質量的概念(當然,現在質量是比密度體積更基本的概念);科學家們發現物體在各種變化的過程中有某種守恒的東西,于是提煉出了能量的概念。那么,帶電體在周圍空間中產生電場的過程,能不能也提煉出某種不變的東西呢?
04通量的引入
我們先不管電,先來看看我們更熟悉的水。畢竟水流和電流有某種相似之處,
我在一個水龍頭的出口處裝一個噴頭,讓水龍頭向周圍的空間噴射水流(就像正電荷噴射電場線一樣),然后我用一個完全透水(水能夠自由的穿過塑料袋)的塑料袋把水龍頭包起來。那么,從水龍頭出來的所有的水都必須穿過這個塑料袋,然后才能去其他地方,穿過這個塑料袋的表面是所有水的必經之路。
這個看似平常的現象后面卻隱藏了這樣一個事實:無論塑料袋有多大,是什么形狀,只要你是密封的。那么,從水龍頭流出的水量就一定等于通過這個塑料袋表面的水量。
從這里,我們就抽象出來了一個非常重要的概念:通量。通量,顧名思義,就是通過一個曲面的某種流量,通過塑料袋表面的水的流量就叫塑料袋的水通量。這樣上面的例子我們就可以說成水龍頭的出水量等于塑料袋的水通量了。
好,水的事就先說到這里,我們再回過頭來看看電。還是用上面的實驗,現在我們把水龍頭換成一個正電荷,我們還是用一個完全透電(對電沒有任何阻力)的塑料袋套住一個正電荷,那會發生什么呢?水龍頭的噴頭散發的是水流,正電荷“散發”的是電場線;通過該塑料袋的水流量叫塑料袋的水通量,那么電場線通過塑料袋的數量自然就叫塑料袋的電通量。對于水通量,我們知道它等于水龍頭的出水量,那么塑料袋的電通量等于什么呢?
我們知道,之所以會有電場線,是因為空間中存在電荷。而且,電荷的電量越大,它產生的電場強度就越大,電場線就越密,那么穿過塑料袋的電場線的數量就越多,對應的電通量就越大。所以,我們雖然無法確定這個電通量的具體形式,但是可以肯定它一定跟這個塑料袋包含的電荷量有關,而且是正相關。
這就是在告訴我們:通過一個閉合曲面的電通量跟曲面內包含電荷總量是成正比的,電荷量越大,通過這個任意閉合曲面的電通量就越大,反之亦然。這就是麥克斯韋方程組的第一個方程——高斯電場定律的核心思想。
把這個思想從電翻譯到水上面去就是:通過一個閉合曲面的水量是這個曲面內包含水龍頭水壓的量度,水壓越大,水龍頭越多,通過這個閉合曲面的水量就越大。這幾乎已經接近“廢話”了?所以,大家面對那些高大上的公式方程的時候不要先自己嚇自己,很多所謂非常高深的思想,你把它用人話翻譯一下,就會發現它非常簡單自然。
我們再來審視一下高斯電場定律的核心思想:通過一個閉合曲面的電通量跟曲面包含的電荷量成正比。那么,我們要怎么樣把這個思想數學化呢?電荷的總量好說,就是把所有電荷的帶電量加起來,那么通過一個閉合曲面的電通量要怎么表示呢?
05電場的通量
我們先從最簡單的情況看起。
問題1:我們假設空間里有一個電場強度為E的勻強電場,然后有一個面積為a的木板跟這個電場方向垂直,那么,通過這個木板的電通量Φ要怎么表示呢?
我們想想,我們最開始是從水通過曲面的流量來引入通量的,到了電這里,我們用電場線通過一個曲面的數量表示電通量。而我們也知道,電場線的密度代表了電場強度的大小。所以,我們就能很明顯的發現:電場強度越大,通過木板的電場線數量越多;木板的面積越大,通過木板的電場線數量越多。而電場線的數量越多,就意味著電通量越大。
因為電場強度E是一個矢量(有大小和方向),所以我們用E的絕對值|E|來表示E的大小,那么我們直接用電場強度的大小|E|和木板面積a的乘積來表示電通量的大小是非常合理的。也就是說,通過木板的電通量Φ=|E|×a。
木板和電場線方向相互垂直是最簡單的情況,如果木板和電場的方向不垂直呢?
問題2:還是上面的木板和電場,如果木板跟電場的方向不是垂直的,它們之間有一個夾角θ,那這個電通量又要怎么求呢?
如上圖,首先,我們能直觀地感覺到:當木板不再和電場方向垂直的時候,這個木板被電場線穿過的有效面積減小了。原來長度為AB的面都能擋住電場線,現在,雖然還是那塊木板,但是真正能夠有效擋住電場線的變成了BC這個面。
然后,我們再來談一談曲面的方向,可能很多人都認為曲面的方向就是定義為AB的方向。其實不是的,我們是用一個垂直于這個平面的向量的方向表示這個平面的方向,這個向量就叫這個平面的法向量。如上圖所示,我畫了一個跟木板垂直的法向量n,那么這個法向量n和電場E的夾角才是木板這個平面和電場的夾角θ。
AB、BC和θ之間存在一個非常簡單的三角關系:BC=AB×cosθ(因為夾角θ跟角ABC相等,cosθ表示直角三角形里鄰邊和斜邊的比值)。而我們有知道垂直的時候通過木板的電通量Φ=|E|×|a|,那么,當它們之間有一個夾角θ的時候,通過木板的電通量自然就變成了:Φ=|E|×|a|×cosθ。
06矢量的點乘
到了這里,我們就必須稍微講一點矢量和矢量的乘法了。
通俗地講,標量是只有大小沒有方向的量。比如說溫度,房間某一點的溫度就只有一個大小而已,并沒有方向;再比如質量,我們只說一個物體的質量是多少千克,并不會說質量的方向是指向哪邊。而矢量則是既有大小,又有方向的量。比如速度,我們說一輛汽車的速度不僅要說速度的大小,還要指明它的方向,它是向東還是向南;再比如說力,你去推桌子,這個推力不僅有大小(決定能不能推動桌子),還有方向(把桌子推向哪一邊)。
標量因為只有大小沒有方向,所以標量的乘法可以直接像代數的乘法一樣,讓它們的大小相乘就行了。但是,矢量因為既有大小又有方向,所以你兩個矢量相乘就不僅要考慮它的大小,還要考慮它的方向。假如你有兩個矢量,一個矢量的方向向北,另一個向東,那么它們相乘之后得到的結果還有沒有方向呢?如果有,這個方向要怎么確定呢?
這就是說,我們從小學開始學習的那種代數乘法的概念,在矢量這里并不適用,我們需要重新定義一套矢量的乘法規則,比如我們最常用的點乘(符號為‘·’)。你兩個標量相乘就是直接讓兩個標量的大小相乘,我現在矢量不僅有大小還有方向,那么這個方向怎么體現呢?簡單,我不讓你兩個矢量的大小直接相乘,而是讓一個矢量的投影和另一個矢量的大小相乘,這樣就既體現了大小又體現了方向。
如上圖,我們有兩個矢量OA和OB(線段的長短代表矢量的大小,箭頭的方向代表矢量的方向),我們過A點做AC垂直于OB(也就是OA往OB方向上投影),那么線段OC的長度就代表了矢量OA在OB方向上的投影。而根據三角函數的定義,一個角度θ的余弦cosθ被定義為鄰邊(OC)和斜邊(OA)的比值,即cosθ=OC/|OA|(絕對值表示矢量的大小,|OA|表示矢量OA的大小)。所以矢量OA在OB方向上的投影OC可以表示為:OC=|OA|×cosθ。
既然兩個矢量的點乘被定義為一個矢量的投影和和另一個矢量大小的乘積,現在我們已經得到了投影OC的表達式,那么矢量OA和OB的點乘就可以表示為:
OA·OB=OC×|OB|=|OA||OB|cosθ。
為什么我們上面明明還在講電場通過一個平面的通量,接著卻要從頭開始講了一堆矢量的點乘的東西呢?因為電場強度也是一個矢量,它有大小也有方向(電場線的密度代表大小,電場線的方向代表它的方向);平面其實也是一個矢量,平面的大小不用說了,平面的方向是用垂直于這個平面的法向量來表示的。而且,我們再回顧一下當平面跟電場方向有一個夾角θ的時候,通過這個平面的電通量Φ=|E|×|a|×cosθ。這是不是跟上面兩個矢量點乘右邊的形式一模一樣?
也就是說,如果我們從矢量的角度來看:電場E通過一個平面a的電通量Φ就可以表示為這兩個矢量(電場和平面)的點乘,即Φ=E·a(因為根據點乘的定義有E·a=|E|×|a|×cosθ)。
這種表述既簡潔又精確,你想想,如果你不使用矢量的表述,那么你在公式里就不可避免地會出現很多和夾角θ相關的地方。更關鍵的是,電場強度和平面本來就都是矢量,你使用矢量的運算天經地義,為什么要用標量來代替它們呢?
總之,我們知道一個電場通過一個平面的電通量可以簡潔的表示為:Φ=E·a,這就夠了。但是,高斯電場定律的核心思想是通過閉合曲面的電通量跟曲面包含的電荷量成正比,我們這里得到的只是一個電場通過一個平面的電通量,一個平面和一個閉合曲面還是有相當大的區別的。
07閉合曲面的電通量
知道怎么求一個平面的電通量,要怎么求一個曲面的電通量呢?
這里就要稍微涉及一丟丟微積分的思想了。我們都知道我們生活在地球的表面,而地球表面其實是一個球面,那么,為什么我們平常在路上行走時卻感覺不到這種球面的彎曲呢?這個答案很簡單,因為地球很大,當我們從月球上遙望地球的時候,我們能清晰地看到地球表面是一個彎曲的球面。但是,當我們把范圍僅僅鎖定在我們目光周圍的時候,我們就感覺不到地球的這種彎曲,而是覺得我們行走在一個平面上。
地球的表面是一個曲面,但是當我們只關注地面非常小的一塊空間的時候,我們卻覺得這是一個平面。看到沒有,一個曲面因為某種原因變成了一個平面,而我們現在的問題不就是已知一個平面的電通量,要求一個曲面的電通量么?那么地球表面的這個類比能不能給我們什么啟發呢?
彎曲的地球表面在小范圍內是平面,這其實是在啟發我們:我們可以把一個曲面分割成許多塊,只要我們分割得足夠細,保證每一小塊都足夠小,那么我們是可以把這個小塊近似當作平面來處理的。而且不難想象,我把這個曲面分割得越細,它的每一個小塊就越接近平面,我們把這些小平面都加起來就會越接近這個曲面本身。
下面是重點:如果我們把這個曲面分割成無窮多份,這樣每個小塊的面積就都是無窮小,于是我們就可以認為這些小塊加起來就等于這個曲面了。這就是微積分最樸素的思想。
如上圖,我們把一個球面分割成了很多塊,這樣每一個小塊就變成了一個長為dx,寬為dy的小方塊,這個小方塊的面積da=dx·dy。如果這個小塊的電場強度為E,那么通過這個小塊的電通量就是E·da。如果我們把這個球面分割成了無窮多份,那么把這無窮多個小塊的電通量加起來,就能得到穿過這個曲面的總電通量。
這個思想總體來說還是很簡單的,只是涉及到了微積分最樸素的一些思想。如果要我們具體去計算可能就會比較復雜,但是慶幸的是,我們不需要知道具體如何計算,我們只需要知道怎么表示這個思想就行了。一個小塊da的電通量是E·da,那么我們就可以用下面的符號表示通過這個曲面S的總電通量:
這個拉長的大S符號就是積分符號,它就是我們上面說的微積分思想的代表。它的右下角那個S代表曲面S,也就是說我們這里是把這個曲面S切割成無窮小塊,然后對每一塊都求它的通量E·da,然后把通量累積起來。至于這個大S中間的那個圓圈就代表這是一個閉合曲面。
08方程一:高斯電場定律
總之,上面這個式子就代表了電場E通過閉合曲面S的總電通量,而我們前面說過高斯電場定律的核心思想就是:通過閉合曲面的電通量跟這個曲面包含的電荷量成正比。那么,這樣我們就能非常輕松的理解麥克斯韋方程組的第一個方程——高斯電場定律了:
方程的左邊,我們上面解釋了這么多,這就是電場E通過閉合曲面S的電通量。方程右邊帶enc下標的Q表示閉合曲面內包含的電荷總量,ε0是個常數(真空介電常數),暫時不用管它。等號兩邊一邊是閉合曲面的電通量,另一邊是閉合曲面包含的電荷,我們這樣就用數學公式完美地詮釋了我們的思想。
麥克斯韋方程組總共有四個方程,分別描述了靜電、靜磁、磁生電、電生磁的過程。庫倫定律從點電荷的角度描述靜電,而高斯電場定律則從通量的角度來描述靜電,為了描述任意閉合曲面的通量,我們不得不引入了微積分的思想。我們說電通量是電場線通過一個曲面的數量,而我們也知道磁場也有磁感線(由于歷史原因無法使用磁場線這個名字),那么,我們是不是也可以類似建立磁通量的概念,然后在此基礎上建立類似的高斯磁場定律呢?
09方程二:高斯磁場定律
磁通量的概念很好建立,我們可以完全模仿電通量的概念,將磁感線通過一個曲面的數量定義磁通量。因為磁場線的密度一樣表征了磁感應強度(因為歷史原因,我們這里無法使用磁場強度)的大小。所以不難理解,我們可以仿照電場把磁感應強度為B的磁場通過一個平面a的磁通量Φ表示為Φ=B·a。
同樣,根據我們在上面電場里使用的微積分思想,類比通過閉合曲面電通量的作法,我們可以把通過一個閉合曲面S的磁通量表示為:
然后,我們可以類比高斯電場定律的思想“通過閉合曲面的電通量跟這個曲面包含的電荷量成正比”,建立一個高斯磁場定律,它是核心思想似乎就應該是:通過閉合曲面的磁通量跟這個曲面包含的“磁荷量”成正比。
然而這里會有個問題,我們知道自然界中有獨立存在的正負電荷,電場線都是從正電荷出發,匯集與負電荷。但是自然界里并不存在(至少現在還沒發現)獨立的磁單極子,任何一個磁體都是南北兩極共存。所以,磁感線跟電場線不一樣,它不會存在一個單獨的源頭,也不會匯集到某個地方去,它只能是一條閉合的曲線。
上圖是一個很常見的磁鐵周圍的磁感線,磁鐵外部的磁感線從N極指向S極,在磁鐵的內部又從S極指向N極,這樣就形成一個完整的閉環。
如果磁感線都是一個閉環,沒有獨立存在的磁單極,那我們可以想一想:如果你在這個閉環里畫一個閉合曲面,那么結果肯定就是有多少磁感線從曲面進去,就肯定有多少跟磁感線從曲面出來。因為如果有一根磁感線只進不出,那它就不可能是閉合的了,反之亦然。
如果一個閉合曲面有多少根磁感線進,就有多少根磁感線出,這意味著什么呢?這就意味著你進去的磁通量跟出來的磁通量相等,那么最后這個閉合曲面包含的總磁通量就恒為0了。這就是麥克斯韋方程組的第二個方程——高斯磁場定律的核心思想:閉合曲面包含的磁通量恒為0。
通過閉合曲面的磁通量(B·a是磁通量,套個曲面的積分符號就表示曲面的磁通量)我們上面已經說了,恒為0無非就是在等號的右邊加個0,所以高斯磁場定律的數學表達式就是這樣的:
對比一下高斯電場定律和高斯磁場定律,我們會發現他們不僅是名字想象,思想也幾乎是一模一樣的,只不過目前還沒有發現磁荷、磁單極子,所以高斯磁場定律的右邊就是一個0。我們再想一想:為什么這種高斯XX定律能夠成立?為什么通過任意閉合曲面的某種通量會剛好是某種量的一個量度?
原因還在它們的“平方反比”上。因為電場強度和磁感應強度都是跟距離的平方成反比,而表面積是跟距離的平方正比,所以你前者減小多少,后者就增加多少。那么,如果有一個量的表示形式是前者和后者的乘積,那么它的總量就會保持不變。而通量剛好就是XX強度和表面積的乘積,所以電通量、磁通量就都會有這樣的性質。
所以,再深思一下你就會發現:只要一種力的強度是跟距離平方成反比,那么它就可以有類似的高斯XX定律,比如引力,我們一樣可以找到對應的高斯定律。數學王子高斯當年發現了高斯定理,我們把它應用在物理學的各個領域,就得到了各種高斯XX定律。麥克斯韋方程組總共就四個方程,就有兩個高斯定律,可見其重要性。
靜電和靜磁方面的事情就先說這么多,接下來我們來看看電和磁之間的交互,看看磁是如何生電,電是如何生磁的。說到磁如何生電,那就肯定得提到法拉第。奧斯特發現電流的磁效應之后,大家秉著對稱性的精神,認為磁也一定能夠生電,但是磁到底要怎樣才能生電呢?不知道,這就得做實驗研究了。
10電磁感應
既然是要做實驗看磁如何生電,那首先肯定得有一個磁場。這個簡單,找兩塊N極和S極相對的磁鐵,這樣它們之間就會有一個磁場。我再拿一根金屬棒來,看看它有沒有辦法從磁場中弄出電來。因為金屬棒是導電的,所以我把它用導線跟一個檢測電流的儀器連起來,如果儀器檢測到了電流,那就說明磁生電成功了。
法拉第做了很多這樣的實驗,他發現:你金屬棒放在那里不動,是不會產生電流的(這是自然,否則你就是憑空產生了電,能量就不守恒了。你要這樣能發電,那我買塊磁鐵回家,就永遠不用再交電費了)。
然后,他發現金屬棒在那里動的時候,有時候能產生電流,有時候不能產生,你要是順著磁感線的方向運動(在上圖就是左右運動)就沒有電流,但是你要是做切割磁感線的運動(在上圖就是上下運動)它就能產生電流。打個通俗的比喻:如果把磁感線想象成一根根面條,你只有把面條(磁感線)切斷了才會產生電流。
再然后,他發現金屬棒在磁場里不動雖然不會產生電流,但是如果這時候我改變一下磁場的強度,讓磁場變強或者變弱一些,即便金屬棒不動也會產生電流。
法拉第仔細總結了這些情況,他發現不管是金屬棒運動切割磁感線產生電流,還是磁場強度變化產生電流,都可以用一個通用的方式來表達:只要閉合回路的磁通量發生了改變,就會產生電流。我們想想,磁通量是磁場強度B和面積a的乘積(B·a),我切割磁感線其實是相當于改變了磁感線通過回路的面積a,改變磁場強度就是改變了B。不管我是改變了a還是B,它們的乘積B·a(磁通量)肯定都是要改變的。
也就是說:只要通過曲面(我們可以把閉合回路當作一個曲面)的磁通量發生了改變,回路中就會產生電流,而且磁通量變化得越快,這個電流就越大。
到了這里,我們要表示通過一個曲面的磁通量應該已經輕車熟路了。磁通量是B·a,那么通過一個曲面S的磁通量給它套一個積分符號就行了。于是,通過曲面S磁通量可以寫成下面這樣:
細心的同學就會發現這個表達式跟我們高斯磁場定律里磁通量部分稍微有點不一樣,高斯磁場定律里的積分符號(拉長的S)中間有一個圓圈,我們這里卻沒有。高斯磁場定律說“閉合曲面的磁通量恒為0”,那里的曲面是閉合曲面,所以有圓圈。而我們這里的曲面并不是閉合曲面(我們是把電路回路當成一個曲面,考慮通過這個回路的磁通量),也不能是閉合曲面。因為法拉第就是發現了“通過一個曲面的磁通量有變化就會產生電流”,如果這是閉合曲面,那根據高斯磁場定律它的磁通量恒為0,恒為0那就是沒有變化,沒變化按照法拉第的說法就沒有電流,那還生什么電?
所以,我們要搞清楚,我們這里不再是討論閉合曲面的磁通量,而是一個非閉合曲面的磁通量,這個磁通量發生了改變就會產生電流,而且變化得越快產生的電流就越大。上面的式子給出的只是通過一個曲面S的磁通量,但是我們看到了最終決定電流大小的并不是通過曲面的磁通量的大小,而是磁通量變化的快慢。那么這個變化的快慢我們要怎么表示呢?
我們先來看看我們是怎么衡量快慢的。比如身高,一個人在十二三歲的時候一年可以長10厘米,我們說他這時候長得快;到了十七八歲的時候可能一年就長1厘米,我們就說他長得慢。也就是說,我們衡量一個量(假設身高用y表示)變化快慢的方法是:給定一個變化的時間dt(比如一年,或者更小),看看這個量的變化dy是多少,如果這個量的變化很大我們就說它變化得很快,反之則變化得慢。
因此,我們可以用這個量的變化dy和給定的時間dt的比值dy/dt來衡量量這個量y變化的快慢。所以,我們現在要衡量磁通量變化的快慢,那就只需要把磁通量的表達式替換掉上面的y就行了,那么通過曲面S的磁通量變化的快慢就可以這樣表示:
這樣,我們就把磁生電這個過程中磁的這部分說完了,那么電呢?一個閉合回路(曲面)的磁通量有變化就會產生電,那這種電要怎么描述?
11電場的環流
可能有人覺得磁通量的變化不是在回路里產生了電流么,那么我直接用電流來描述這種電不就行了么?不行,我們的實驗里之所以有電流,是因為我們用導線把金屬棒連成了一個閉合回路,如果我們沒有用導線去連金屬棒呢?那肯定就沒有電流了。
所以,電流并不是最本質的東西,那個最本質的東西是電場。一個曲面的磁通量發生了變化,它就會在這個曲面的邊界感生出一個電場,然后這個電場會驅動導體中的自由電子定向移動,從而形成電流。因此,就算沒有導線沒有電流,這個電場依然存在。所以,我們要想辦法描述的是這個被感生出來的電場。
首先,一個曲面的磁通量發生了改變,就會在在曲面的邊界感應出一個電場,這個電場是環繞著磁感線的,就像是磁感線的腰部套了一個呼啦圈。而且,你這個磁通量是增大還是減小,決定了這個電場是順時針環繞還是逆時針環繞,如下圖:
如果我們從上往下看的話,這個成閉環的感生電場就是如下圖所示:它在這個閉環每點的方向都不一樣,這樣就剛好可以沿著回路驅動帶電粒子,好像是電場在推著帶電粒子在這里環里流動一樣。
這里,我們就要引入一個新的概念:電場環流,電場的環流就是電場沿著閉合路徑的線積分。這里有兩個關鍵詞:閉合路徑和線積分。閉合路徑好說,你只有路徑是閉合的,才是一個環嘛,感生電場也是一個環狀的電場。
電場的線積分是什么意思呢?因為我們發現這個感生電場是一個環狀電場,它在每一個點的方向都不一樣。但是,我們依然可以發動微積分的思想:這個電場在大范圍內(比如上面的整個圓環)方向是不一樣的,但是,如果在圓環里取一個非常小的段dl,電場E就可以看做是一個恒定的了,這時候E·dl就是有意義的了。然后把這個環上所有部分的E·dl都累加起來,也就是沿著這個圓環逐段把E·dl累加起來,這就是對電場求線積分。而這個線積分就是電場環流,用符號表示就是這樣:
積分符號下面的C表示這是針對曲線進行積分,不同于我們前面的面積分(下標為S),積分符號中間的那個圓圈就表示這個是閉合曲線(電場形成的圓環)。如果大家已經熟悉了前面曲面通量的概念,我想這里要理解電場在曲線上的積分(即電場環流)并不難。
這個電場環流有什么物理意義呢?它就是我們常說電動勢,也就是電場對沿著這條路徑移動的單位電荷所做的功。我這里并不想就這個問題再做深入的討論,大家只要直觀的感覺一下就行了。你想想這個電場沿著這個回路推動電荷做功(電場沿著回路推著電荷走,就像一個人拿著鞭子抽磨磨的驢),這就是電場環流要傳遞的概念。而用這個概念來描述變化的磁產生的電是更加合適的,它既包含了感生電場的大小信息,也包含了方向信息。
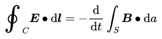
12方程三:法拉第定律
所以,麥克斯韋方程組的第三個方程——法拉第定律的最后表述就是這樣的:曲面的磁通量變化率等于感生電場的環流。用公式表述就是這樣:
方程右邊的磁通量的變化率和和左邊的感生電場環流我們上面都說了,還有一個需要說明的地方就是公式右邊的這個負號。為什么磁通量的變化率前面會有個負號呢?
我們想想,法拉第定律說磁通量的變化會感生出一個電場出來,但是我們別忘了奧斯特的發現:電流是有磁效應的。也就是說,磁通量的變化會產生一個電場,這個電場它自己也會產生磁場,那么也就有磁通量。那么,你覺得這個感生電場產生的磁通量跟原來磁場的磁通量的變化會有什么關系?
假如原來的磁通量是增加的,那么這個增加的磁通量感生出來的電場產生的磁通量是跟原來方向相同還是相反?仔細想想你就會發現,答案必然是相反。如果原來的磁通量是增加的,你感生出來的電場產生的磁通量還跟它方向相同,這樣不就讓原來的磁通量增加得更快了么?增加得更快,按照這個邏輯就會感生出更強大的電場,產生更大的與原來方向相同的磁通量,然后又導致原來的磁通量增加得更快……
然后你會發現這個過程可以無限循環下去,永遠沒有盡頭,這樣慢慢感生出無限大的電場和磁通量,這肯定是不可能的。所以,為了維持一個系統的穩定,你原來的磁通量是增加的,我感生電場產生的磁通量就必然要讓原來的磁通量減小,反之亦然。這就是楞次定律的內容,中學的時候老師會編一些口訣讓你記住它的內容,但是我想讓你知道這是一個穩定系統自然而然的要求。楞次定律背后還有一些更深層次的原因,這里我們暫時只需要知道這是法拉第定律那個負號的體現就行了。
到這里,我們就把麥克斯韋方程組的第三個方程——法拉第定律的內容講完了,它刻畫了變化的磁通量如何產生電場的過程。但是,我們上面也說了,我們這里的磁通量變化包含了兩種情況:導體運動導致的磁通量變化和磁場變化導致的磁通量變化。這兩種情況其實是不一樣的,但是它們居然又可以用一個統一的公式來表達,這其實是非常不自然的,當時的人們也只是覺得這是一種巧合罷了,但是愛因斯坦卻不認為這是一種巧合,而是大自然在向我們暗示什么,他最終從這里發現了狹義相對論,有興趣的同學可以這里思考一下。
也因為這兩種情況不一樣,所以,法拉第定律還有另外一個版本:它把這兩種情況做了一個區分,認為只有磁場變化導致的磁通量變化才是法拉第定律,前面導體運動導致的磁通量變化只是通量法則。所以我們有時候就會看到法拉第定律的另一個版本:
對比一下這兩個法拉第定律,我們發現后面這個只是把那個變化率從原來的針對整個磁通量移到了只針對磁場強度B(因為B不是只跟時間t有關,還可以跟其它的量有關,所以我們這里必須使用對時間的偏導的符號?B/?t),也就是說它只考慮變化磁場導致的磁通量變化。這種形式跟我們后面要說的法拉第定律的微分形式對應得更好,這個后面大家會體會到。
磁生電的過程我們先講這么多,最后我們來看看電生磁的情況。可能有些人會覺得我這個出場次序有點奇怪:明明是奧斯特先發現了電流的磁效應,大概十年后法拉第才發現了磁如何生電,為什么你卻要先講磁生電的法拉第定律,最后講電生磁呢?
13安培環路定理
確實,是奧斯特首先爆炸性地發現了電流的磁效應,發現了原來電和磁之間并不是毫無關系的。
如上圖,假設電流從下往上,那么它在周圍就會產生這樣一個環形的磁場。磁場的方向可以用所謂的右手定則直觀的判斷:手握著導線,拇指指向電流的方向,那么你右手四指彎曲的方向就是磁場B的方向。
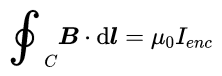
然后畢奧、薩伐爾和安培等人立馬著手定量的研究電流的磁效應,看看一定大小的電流在周圍產生的磁場的大小是怎樣的。于是,我們就有了描述電流磁效應的畢奧-薩伐爾定律和安培環路定理。其中,畢奧-薩伐爾定律就類似于庫侖定律,安培環路定理就類似于高斯電場定律,因為在麥克斯韋方程組里,我們使用的是后一套語言,所以我們這里就只來看看安培環路定理:
安培環路定理的左邊跟法拉第定律的左邊很相似,這是很顯然的。因為法拉第定律說磁通量的變化會在它周圍產生一個旋轉閉合的電場,而電流的磁效應也是在電流的周圍產生一個旋轉閉合的磁場。在上面我們已經說了我們是用電場環流(也就是電場在閉合路徑的線積分)來描述這個旋轉閉合的電場,那我們這里一樣使用磁場環流(磁場在閉合路徑的線積分)來描述這種旋轉閉合的磁場。
安培環路定理的右邊就比較簡單了,μ0是個常數(真空磁導率),不用管它。I通常是用來表示電流的,enc這個右標我們在高斯電場定律那里已經說過了,它是包含的意思。所以,右邊這個帶enc的電流I就表示被包含在閉合路徑里的總電流,哪個閉合路徑呢?那自然就是你左邊積分符號中間那個圈圈表示的閉合路徑了。
也就是說,安培環路定理其實是在告訴我們:通電導線周圍會產生旋轉磁場,你可以在這個電流周圍隨便畫一個圈,那么這個磁場的環流(沿著這個圈的線積分)就等于這個圈里包含的電流總量乘以真空磁導率。
那么,這樣就完了么?靜電、靜磁分別由兩個高斯定律描述,磁生電由法拉第定律描述,電生磁就由安培環路定理描述?
不對,我們看看安培環路定理,雖然它確實描述了電生磁,但是它這里的電僅僅是電流(定理右邊只有電流一項)。難道一定要有電流才會產生磁?電磁感應被發現的原因就是看到奧斯特發現了電流的磁效應,發現電能生磁,所以人們秉著對稱性的原則,覺得既然電能夠生磁,那么磁也一定能夠生電。那么,繼續秉著這種對稱性,既然法拉第定律說“變化的磁通量能夠產生電”,那么,我們實在有理由懷疑:變化的電通量是不是也能產生磁呢?
14方程四:安培-麥克斯韋定律
那么,為什么描述電生磁的安培環路定理里卻只有電流產生磁,而沒有變化的電通量產生磁這一項呢?難道當時的科學家們沒意識到這種對稱性么?當然不是,當時的科學家們也想從實驗里去找到電通量變化產生磁場的證據,但是他們并沒有找到。沒有找到依然意味著有兩種可能:不存在或者目前的實驗精度還發現不了它。
如果你是當時的科學家,面對這種情況你會作何選擇?如果你因為實驗沒有發現它就認為它不存在,這樣未免太過保守。但是,如果你僅僅因為電磁之間的這樣一種對稱性(而且還不是非常對稱,因為大自然里到處充滿了獨立的電荷,卻沒有單獨的磁單極子)就斷定“電通量的變化也一定會產生磁”這樣未免太過草率。這種時候就是真正考驗一個科學家能力和水平的時候了。
麥克斯韋選擇了后者,也就是說麥克斯韋認為“變化的電通量也能產生磁”,但是他并不是隨意做了一個二選一的選擇,而是在他的概念模型里發現必須加入這樣一項。而且,只有加上了這樣一項,修正之后的安培環路定理才能跟高斯電場定律、高斯磁場定律、法拉第定律融洽相處,否則他們之間會產生矛盾(這個矛盾我們在后面的微分篇里再說)。麥克斯韋原來的模型太過復雜,我這里就不說了,這里我用一個很簡單的例子告訴大家為什么必須要加入“變化的電通量也能產生磁”這一項。
在安培環路定理里,我們可以隨意選一個曲面,然后所有穿過這個曲面的電流會在這個曲面的邊界上形成一個環繞磁場,問題的關鍵就在這個曲面的選取上。按理說,只要你的這個曲面邊界是一樣的,那么曲面的其他部分就隨便你選,因為安培環路定理坐標的磁場環流只是沿著曲面的邊界的線積分而已,所以它只跟曲面邊界有關。下面這個例子就會告訴你即便曲面邊界一樣,使用安培環路定理還是會做出相互矛盾的結果。
上圖是一個包含電容器的簡單電路。電容器顧名思義就是裝電的容器,它可以容納一定量的電荷。一開始電容器是空的,當我們把開關閉合的時候,電荷在電池的驅動下開始移動,移動到了電容器這里就走不動了(此路不通),然后電荷們就聚集在電容器里。因為電容器可以容納一定量的電荷,所以,當電容器還沒有被占滿的時候,電荷是可以在電路里移動的,電荷的移動就表現為電流。
所以,我們會發現當我們在給電容器充電的時候,電路上是有電流的,但是電容器之間卻沒有電流。所以,如果我們選擇上圖的曲面,那么明顯是有電流穿過這個曲面,但是,如果我們選擇下面這個曲面呢?
這個曲面的邊界跟上圖一樣,但是它的底卻托得很長,蓋住了半塊電容器。這是什么意思呢?因為我們知道電容器在充電的時候,電容器里面是沒有電流的,所以,當我們把曲面選擇成下面這個樣子的時候,根本就沒有電流穿過這個曲面。
也就是說,如果我選上面的曲面,有電流穿過曲面,按照安培環路定理,它是肯定會產生一個環繞磁場的。但是,如果我選擇下面的曲面,就沒有電流通過這個曲面,按照安培環路定理就不會產生環繞磁場。而安培環路定理只限定曲面的邊界,并不管你曲面的其它地方,于是我們就看到這兩個相同邊界的曲面會得到完全不同的結論,這就只能說明:安培環路定理錯了,或者至少它并不完善。
我們再來想一想,電容器在充電的時候電路中是有電流的,所以它周圍應該是會產生磁場的。但是,當我們選擇下面那個大口袋形的曲面的時候,并沒有電流穿過這個曲面。那么,到底這個磁場是怎么來的呢?
我們再來仔細分析一下電容器充電的過程:電池驅使著電荷不斷地向電容器聚集,電容器中間雖然沒有電流,但是它兩邊聚集的電荷卻越來越多。電荷越來越多的話,在電容器兩個夾板之間的電場強度是不是也會越來越大?電場強度越來越大的話,有沒有嗅到什么熟悉的味道?
沒錯,電場強度越來越大,那么通過這個曲面的電通量也就越來越大。因此,我們可以看到雖然沒有電流通過這個曲面,但是通過這個曲面的電通量卻發生了改變。這樣,我們就可以非常合理地把“變化的電通量”這一項也添加到產生磁場的原因里。因為這項工作是麥克斯韋完成的,所以添加了這一項之后的新公式就是麥克斯韋方程組的第四個方程——安培-麥克斯韋定律:
把它和安培環路定理對比一下,你就會發現它只是在在右邊加了變化的電通量這一項,其它的都原封未動。E·a是電通量,套個面積分符號就表示通過曲面S的電通量,再加個d/dt就表示通過曲面S電通量變化的快慢。因為在講法拉第定律的時候我們詳細講了通過曲面磁通量變化的快慢,這里只是把磁場換成了電場,其他都沒變。
ε0是真空中的介電常數,把這個常數和電通量變化的快慢乘起來就會得到一個跟電流的單位相同的量,它就被稱為位移電流,如下圖:
所以,我們經常能夠聽到別人說麥克斯韋提出了位移電流假說。其實,它的核心就是添加了“變化的電通量也能產生磁場”這一項,因為當時并沒有實驗能證明這一點,所以只能暫時稱之為假說。在安培環路定理里添加了這一項之后,新生的安培-麥克斯韋定律就能跟其他的幾條定律和諧相處了。而麥克斯韋之所以能夠從他的方程組里預言電磁波的存在,這最后添加這項“變化的電通量產生磁場”至關重要。
因為你想想,預言電磁波的關鍵就是“變化的電場產生磁場,變化的磁場產生電場”,這樣變化的磁場和電場就能相互感生傳向遠方,從而形成電磁波。而變化的電場能產生磁場,這不就是麥克斯韋添加的這一項的核心內容么?電場變了,電通量變了,于是就產生了磁場。電磁波的產生跟位移電流的假說密切相關。
15麥克斯韋方程組
至此,麥克斯韋方程組的四個方程:描述靜電的高斯電場定律、描述靜磁的高斯磁場定律、描述磁生電的法拉第定律和描述電生磁的安培-麥克斯韋定律的積分形式就都說完了。把它們都寫下來就是這樣:
高斯電場定律說穿過閉合曲面的電通量正比于這個曲面包含的電荷量。
高斯磁場定律說穿過閉合曲面的磁通量恒等于0。
法拉第定律說穿過曲面的磁通量的變化率等于感生電場的環流。
安培-麥克斯韋定律說穿過曲面的電通量的變化率和曲面包含的電流等于感生磁場的環流。
我們看到,在這里從始至終都占據著核心地位的概念就是通量。
如果一個曲面是閉合的,那么通過它的通量就是曲面里面某種東西的量度。因為自然界存在獨立的電荷,所以高斯電場定律的右邊就是電荷量的大小,因為我們還沒有發現磁單極子,所以高斯磁場定律右邊就是0。
如果一個曲面不是閉合的,那么它就無法包住什么,就不能成為某種荷的量度。但是,一個曲面如果不是閉合的,它就有邊界,于是我們就可以看到這個非閉合曲面的通量變化會在它的邊界感生出某種旋渦狀的場,這種場可以用環流來描述。因而,我們就看到了:如果這個非閉合曲面的磁通量改變了,就會在這個曲面的邊界感生出電場,這就是法拉第定律;如果這個非閉合曲面的電通量改變了,就會在這個曲面的邊界感生出磁場,這就是安培-麥克斯韋定律的內容。
所以,當我們用閉合曲面和非閉合曲面的通量把這四個方程串起來的時候,你會發現麥克斯韋方程組還是很有頭緒的,并不是那么雜亂無章。閉上眼睛,想象空間中到處飛來飛去的電場線、磁場線,它們有的從一個閉合曲面里飛出來,有的穿過一個閉合曲面,有的穿過一個普通的曲面然后在曲面的邊界又產生了新的電場線或者磁場線。它們就像漫天飛舞的音符,而麥克斯韋方程組就是它們的指揮官。
16結語
有很多朋友以為麥克斯韋方程組就是麥克斯韋寫的一組方程,其實不然。如我們所見,麥克斯韋方程組雖然有四個方程,但是其中有三個半(高斯電場定律、高斯磁場定律、法拉第定律、安培環路定理)是在麥克斯韋之前就已經有了的,真正是麥克斯韋加進去的只有安培-麥克斯韋定律里”電通量的變化產磁場”那一項。知道了這些,有些人可能就會覺得麥克斯韋好像沒那么偉大了。
其實不然,在麥克斯韋之前,電磁學領域已經有非常多的實驗定律,但是這些定律哪些是根本,哪些是表象?如何從這一堆定律中選出最核心的幾個,然后建立一個完善自洽的模型解釋一切電磁學現象?這原本就是極為困難的事情。更不用說麥克斯韋在沒有任何實驗證據的情況下,憑借自己天才的數學能力和物理直覺直接修改了安培環路定理,修正了幾個定律之間的矛盾,然后還從中發現了電磁波。所以,絲毫沒有必要因為麥克斯韋沒有發現方程組的全部方程而覺得他不夠偉大。
來源:長尾科技編輯:aki
