上海高考總分 上海2023本科錄取分
2023年是疫情后的首次高考,十六老師同大家一起盤點2023年的高考情況,為2024-2025-2026屆的學生提供參考,如果喜歡的話,歡迎點贊轉發。上海搜索上海爆料上海
一、高考方式——新高考,滿分660分
上海高考實行的是“3+3”政策,即常說的大三門和小三門。上海高考總分660分,
660分=大三門450分+小三門210分。
大三門:指的語文、數學、外語三門,為必考科目,而且每科滿分150分,以高考卷面分計入高考成績。
其中,外語考試有兩次機會,包括筆試和聽說測試,考生可選擇參加1次或2次外語考試,較高一次成績將被計入高考總分。
小三門:指在物理、生物、化學、政治、歷史、地理六門中,選擇3門作為選考科目,每科滿分70分,按等第賦分計入高考成績。
特別提醒,上海高二開始選科,小三門的選擇涉及高考志愿填報的專業,一定要謹慎選擇。選科有一個很大的限制因素就是高考后填報志愿,很多學校對于選科都是有要求的。舉個例子,你想去的某個學校某個專業組,他的選科要求是必選物理,如果你沒選物理,那么連報都報不了,選科時必須考量。
上海高中階段學業水平考試,由合格考和等級考構成。
- 語文、數學、外語、信息科技、通用技術、體育與健康和藝術(或音樂、美術)科目只設合格性考試
- 政治、歷史、地理、物理、化學、生物科目分設合格性考試和等級性考試。
合格考:
合格考可以說是整個高中階段最基礎的一項考試,主要包括語文、數學、外語、物理、化學、生物、政治、歷史、地理、信息科技10門考試。
- 語文、數學、外語科目合格性考試采用筆試方式,時間均為90分鐘;其中外語科目筆試不含聽力,另設聽說測試(采用人機對話方式),時間為30分鐘。
- 政治、歷史、地理、物理、化學、生物科目合格性考試采用筆試方式,時間均為60分鐘;其中,物理、化學、生物科目合格性考試另設操作技能考試,時間均為15分鐘。
- 信息科技科目合格性考試采用上機考試方式,時間為60分鐘。
另外,通用技術、體育與健康和藝術(或音樂、美術)科目不統一組織合格性考試,由學校依據相關學科課程標準要求,以學生平時表現為依據,綜合評定合格性考試成績。
值得注意的是:只有合格考全部取得合格,才能獲得高中畢業資格。同時,只有合格考合格,才能報考對應科目的等級考。因此,合格考是每個高中生必須要考過的!
等級考:
參加等級考的前提:對應學科的合格考已經取得合格的成績。
等級考就是所謂的小三門,各科目等級性考試均采用筆試方式,時間均為60分鐘。各科按考試成績等級賦分計入高考成績!
等級考共分為11個等第,每個對應的計入高考的分值如下:
某同學參加物理等級考,成績排在全市考生的前5%,對應等第為A+,那么該同學物理等級考成績則為70分,直接計入高考成績;如果排在全市的前17%,對應等第為B+,對應的高考分數就是64分。
高考分數構成舉例
值得一提的是,從2024屆高考起,上海高中學業水平考試安排有所調整:
- 原本高一能參加生地+信息的合格考,調整后高一只能參加信息合格考
- 原本高二就能參加的生地等級考,調整后全部安排到高三第二學期。
從2024屆開始,每個秋考考生都要在高三第二學期一下考掉3門;而且政治、歷史、地理、生物、物理、化學題型均會變化,由原來的選擇題、填空題、綜合題等轉變為全是綜合大題,每道綜合大題由若干不同題型的小題組成。
高二同學想在明年取得三門A+,必須找準科學的復習節奏和方向,且越早啟動復習就有利,拖到高三再啟動,根本來不及!
(調整后)高中學業水平考試時間安排:
2023年上海市普通高中學業水平合格性考試(以下簡稱“合格考”)將于6月28日至30日進行。
二、高考人數
約5.4萬名考生參加考試
三、高考分數線
本科錄取控制分數線為405分,特殊類型招生控制分數線為504分,藝術類本科文化控制分數線為304分,體育類本科文化控制分數線為284分。
四、魔都高校概況
2023年共有749所高校在滬招生,其中本科招生院校有660所,比去年新增28所.
通常上海本地211院校要達到530分以上,985則要570分以上。
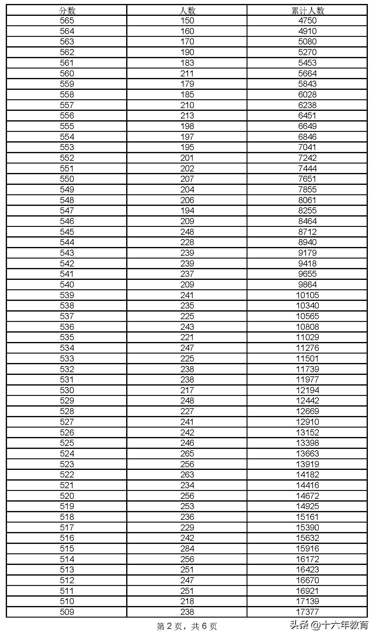
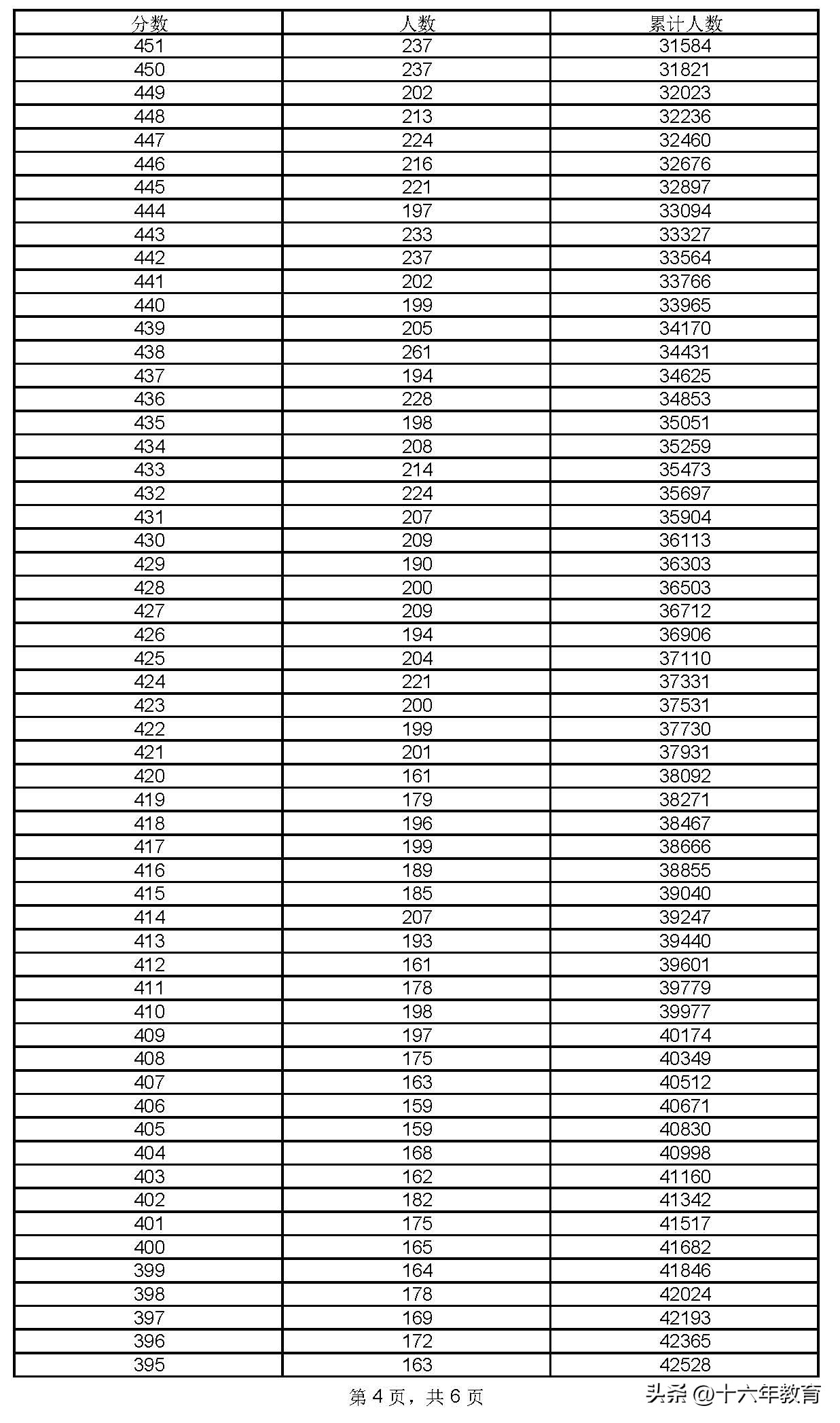
五、2023年上海高考一分一段表
按照上海市高考5.4萬人計算,本科分數線405分以上的40830人,本科上線率75.6%;特控線504分以上的18635人,特控上線率34.5%;600分以上591人,上線率僅1%。
